Online Database of Chemicals from Around the World

Cyclohexapentylose SDS (CAS 10016-20-3)

This page provides the Safety Data Sheet (SDS) for Cyclohexapentylose (CAS 10016-20-3), including information on hazards, first-aid measures, storage, handling requirements, and more. Users may download the SDS file free of charge for laboratory or industrial reference.

Product Info

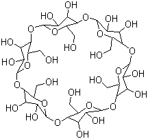
structure of CAS# 10016-20-3, Cyclohexapentylose;alpha-Cyclodextrin; Cyclohexaamylose;(1S,3R,5R,6S,8R,10R,11S,13R,15R,16S,18R,20R,21S,23R,25R,26S,28R,30R,31R,32R,33R,34R,35R,36R,37R,38R,39R,40R,41R,42R)-5,10,15,20,25,30-hexakis(hydroxymethyl)-2,4,7,9,12,14,17,19,22,24,27,29-dodecaoxaheptacyclo[26.2.2.23,6.28,11.213,16.218,21.223,26]dotetracontane-31,32,33,34,35,36,37,38,39,40,41,42-dodecol
Product Name Cyclohexapentylose
CAS Registry Number 10016-20-3
Molecular Formula C36H60O30
Molecular Weight 972.84
More information of Cyclohexapentylose
 
Source SDS Document
Alfa-Aesar
www.alfa.com/en/content/msds/USA/J13979.pdf
View / download
Sigma-Aldrich
www.sigmaaldrich.com/catalog/Lookup.do?N5=All&N3=mode+matchpartialmax&N1=S_ID&ST=RS&N25=0&F=PR&D7=0&N4=10016-20-3
View / download
TCI
www.spectrumchemical.com/MSDS/TCI-C0776.pdf
View / download

Disclaimer

The SDS samples above are collected from the Internet by chemBlink and displayed here for the tutorial purpose only. chemBlink LLC provides the information contained herein in good faith but makes no representation as to its comprehensiveness or accuracy. Read full context...



Frequently Asked Questions (FAQ)
What is an SDS?   How do I download an SDS?   Are SDSs free?   What is the difference between SDS and MSDS?



More SDS files for chemicals
O,O-Diethyl...   1-(2-Pyridinyl)...   1-Cyano-2-merca...   methyl...   BV 6   4-Nitrophenylhy...   rac-Ethylenebis...   3-Amino-4-hydro...   3-Amino-5-methy...   SRT 1720