Online Database of Chemicals from Around the World

FLST-c SDS (CAS 111216-36-5)

This page provides the Safety Data Sheet (SDS) for FLST-c (CAS 111216-36-5), including information on hazards, first-aid measures, storage, handling requirements, and more. Users may download the SDS file free of charge for laboratory or industrial reference.

Product Info

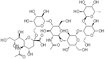
structure of CAS# 111216-36-5, FLST-c;O-(N-Acetyl-alpha-neuraminosyl)-(2→6)-O-beta-D-galactopyranosyl-(1→4)-O-2-(acetylamino)-2-deoxy-beta-D-glucopyranosyl-(1→3)-O-beta-D-galactopyranosyl-(1→4)-O-[6-deoxy-alpha-L-galactopyranosyl-(1→3)]-D-glucose
Product Name FLST-c
CAS Registry Number 111216-36-5
Molecular Formula C43H72N2O33
Molecular Weight 1145.03
More information of FLST-c
 
Source SDS Document
Sigma-Aldrich
www.sigmaaldrich.com/catalog/Lookup.do?N5=All&N3=mode+matchpartialmax&N1=S_ID&ST=RS&N25=0&F=PR&D7=0&N4=111216-36-5
View / download

Disclaimer

The SDS samples above are collected from the Internet by chemBlink and displayed here for the tutorial purpose only. chemBlink LLC provides the information contained herein in good faith but makes no representation as to its comprehensiveness or accuracy. Read full context...



Frequently Asked Questions (FAQ)
What is an SDS?   How do I download an SDS?   Are SDSs free?   What is the difference between SDS and MSDS?



More SDS files for chemicals
Silicic acid...   Ammonium...   Rosuvastatin...   1,1,1-Trichloro...   Sebacic acid   Triethyleneglyc...   6-Bromo-2-chlor...   2,7-Dichloro-4-...   2-Fluoro-5-forM...   2-Chloro-5-(4,4...