Online Database of Chemicals from Around the World

Amphotericin B SDS (CAS 1397-89-3)

This page provides the Safety Data Sheet (SDS) for Amphotericin B (CAS 1397-89-3), including information on hazards, first-aid measures, storage, handling requirements, and more. Users may download the SDS file free of charge for laboratory or industrial reference.

Product Info

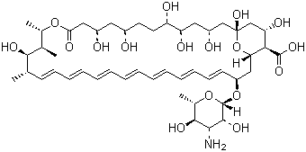
structure of CAS# 1397-89-3, Amphotericin B;33-[(3-Amino-3,6-dideoxy-beta-D-mannopyranosyl)oxy]-1,3,5,6,9,11,17,37-octahydroxy-15,16,18-trimethyl-13-oxo-14,39-Dioxabicyclo[33.3.1]nonatriaconta-19,21,23,25,27,29,31-heptaene-36-carboxylic acid; Fungizone
Product Name Amphotericin B
CAS Registry Number 1397-89-3
Molecular Formula C47H73NO17
Molecular Weight 924.08
More information of Amphotericin B
 
Source SDS Document
Alfa-Aesar
www.alfa.com/en/content/msds/USA/J61491.pdf
View / download
Sigma-Aldrich
www.sigmaaldrich.com/catalog/Lookup.do?N5=All&N3=mode+matchpartialmax&N1=S_ID&ST=RS&N25=0&F=PR&D7=0&N4=1397-89-3
View / download
Acros-Organics
www.acros.com/DesktopModules/Acros_Search_Results/Acros_Search_Results.aspx?search_type=CAS&SearchString=1397-89-3
View / download

Disclaimer

The SDS samples above are collected from the Internet by chemBlink and displayed here for the tutorial purpose only. chemBlink LLC provides the information contained herein in good faith but makes no representation as to its comprehensiveness or accuracy. Read full context...



Frequently Asked Questions (FAQ)
What is an SDS?   How do I download an SDS?   Are SDSs free?   What is the difference between SDS and MSDS?



More SDS files for chemicals
(3beta)-26,27-D...   N-(3-Methoxyphe...   2-Iodo-5-methyl...   2-Ethoxy-1-[[2'...   Bis(8-quinolino...   Antimycin A   3,5-Dibromo-4-m...   2-Hydroxy-Docos...   Methyl...   3-(2-chloro-5,6...