Online Database of Chemicals from Around the World

Hexadecanoic Acid 1,1'-[2-[[(2-Aminoethoxy)Hydroxyphosphinyl]Oxy]-1,3-Propanediyl] Ester SDS (CAS 67303-93-9)

This page provides the Safety Data Sheet (SDS) for Hexadecanoic Acid 1,1'-[2-[[(2-Aminoethoxy)Hydroxyphosphinyl]Oxy]-1,3-Propanediyl] Ester (CAS 67303-93-9), including information on hazards, first-aid measures, storage, handling requirements, and more. Users may download the SDS file free of charge for laboratory or industrial reference.

Product Info

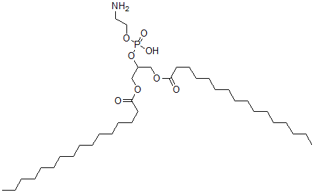
structure of CAS# 67303-93-9, Hexadecanoic Acid 1,1'-[2-[[(2-Aminoethoxy)Hydroxyphosphinyl]Oxy]-1,3-Propanediyl] Ester;1,3-DIPALMITOYL-GLYCERO-2-PHOSPHOETHANOLAMINE
Product Name Hexadecanoic Acid 1,1'-[2-[[(2-Aminoethoxy)Hydroxyphosphinyl]Oxy]-1,3-Propanediyl] Ester
CAS Registry Number 67303-93-9
Molecular Formula C37H74NO8P
Molecular Weight 691.96
More information of Hexadecanoic Acid 1,1'-[2-[[(2-Aminoethoxy)Hydroxyphosphinyl]Oxy]-1,3-Propanediyl] Ester
 
Source SDS Document
Sigma-Aldrich
www.sigmaaldrich.com/catalog/Lookup.do?N5=All&N3=mode+matchpartialmax&N1=S_ID&ST=RS&N25=0&F=PR&D7=0&N4=67303-93-9
View / download
Cayman
www.caymanchem.com/msdss/15093m.pdf
View / download

Disclaimer

The SDS samples above are collected from the Internet by chemBlink and displayed here for the tutorial purpose only. chemBlink LLC provides the information contained herein in good faith but makes no representation as to its comprehensiveness or accuracy. Read full context...



Frequently Asked Questions (FAQ)
What is an SDS?   How do I download an SDS?   Are SDSs free?   What is the difference between SDS and MSDS?



More SDS files for chemicals
Dichloro[tris(2...   N,N',N''-Tri-2-...   4-Bromo-3,5-dim...   4-Benzyloxycarb...   1,3,4,6-Tetra-O...   Simeton   2-(2-Pyridinyl)...   5-Methyl-4-isox...   Fenpropidin   D-Phenylalanine