Online Database of Chemicals from Around the World

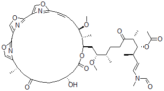
Ulapualide A
[CAS 100045-73-6]

Suppliers
CAS#: 100045-73-6
Product: Ulapualide A
No suppilers available for the product.
Identification
Name Ulapualide A
Molecular Structure CAS#: 100045-73-6, Ulapualide A
Molecular Formula C46H64N4O13
Molecular Weight 881.03
CAS Registry Number 100045-73-6
SMILES [C@@H]4(OC(=O)C[C@H](O)CCCC(=O)C[C@@H](C1=COC(=N1)C2=COC(=N2)C3=COC(=N3)\C=C/C[C@@H](OC)[C@@H]4C)C)C[C@@H](OC)[C@H](CCC(=O)[C@@H]([C@H](OC(=O)C)[C@@H](\C=C\N(C=O)C)C)C)C
InChI 1S/C46H64N4O13/c1-27(16-17-38(55)30(4)44(62-32(6)52)28(2)18-19-50(7)26-51)40(58-9)22-41-31(5)39(57-8)14-11-15-42-47-36(24-59-42)45-49-37(25-61-45)46-48-35(23-60-46)29(3)20-33(53)12-10-13-34(54)21-43(56)63-41/h11,15,18-19,23-31,34,39-41,44,54H,10,12-14,16-17,20-22H2,1-9H3/b15-11-,19-18+/t27-,28+,29-,30-,31-,34+,39+,40+,41+,44+/m0/s1
InChIKey LVCVJHOYJVOSGI-GALWPMFLSA-N
Market Analysis Reports
Related Products
UDP-galactose d...  Udp-Galacturoni...  UDP-GlcNAz.2Na;...  Udp-Glucosamine...  Ufiprazole;2-{[...  Ugaxanthone;1,3...  UK-356618  UK 383367;5-[(1...  UK 5099;2-Cyano...  Ukrain  Uldazepam;N-All...  Uleine;Ulein  Ulexite  Ulgut;beta-Cycl...  Ulicyclamide  Ulifloxacin  Uliginosin B;2-...  Ulinastatin;Uri...  Ulipristal;(11b...  Ulipristal acet...