Online Database of Chemicals from Around the World

4-Amino-2-[4,6-Diamino-3-[3-Amino-6-(Aminomethyl)-4-Fluoro-5-Hydroxyoxan-2-Yl]Oxy-2-Hydroxycyclohexyl]Oxy-6-(Hydroxymethyl)Oxane-3,5-Diol
[CAS 100343-10-0]

Suppliers
CAS#: 100343-10-0
Product: 4-Amino-2-[4,6-Diamino-3-[3-Amino-6-(Aminomethyl)-4-Fluoro-5-Hydroxyoxan-2-Yl]Oxy-2-Hydroxycyclohexyl]Oxy-6-(Hydroxymethyl)Oxane-3,5-Diol
No suppilers available for the product.
Identification
Name 4-Amino-2-[4,6-Diamino-3-[3-Amino-6-(Aminomethyl)-4-Fluoro-5-Hydroxyoxan-2-Yl]Oxy-2-Hydroxycyclohexyl]Oxy-6-(Hydroxymethyl)Oxane-3,5-Diol
Synonyms 4-Amino-2-[4,6-Diamino-3-[3-Amino-6-(Aminomethyl)-4-Fluoro-5-Hydroxy-Tetrahydropyran-2-Yl]Oxy-2-Hydroxy-Cyclohexoxy]-6-(Hydroxymethyl)Tetrahydropyran-3,5-Diol; 4-Amino-2-[4,6-Diamino-3-[[3-Amino-6-(Aminomethyl)-4-Fluoro-5-Hydroxy-2-Tetrahydropyranyl]Oxy]-2-Hydroxycyclohexoxy]-6-(Hydroxymethyl)Tetrahydropyran-3,5-Diol; 4-Amino-2-[4,6-Diamino-3-[3-Amino-6-(Aminomethyl)-4-Fluoro-5-Hydroxy-Tetrahydropyran-2-Yl]Oxy-2-Hydroxy-Cyclohexoxy]-6-Methylol-Tetrahydropyran-3,5-Diol
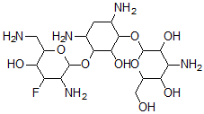
Molecular Structure CAS#: 100343-10-0, 4-Amino-2-[4,6-Diamino-3-[3-Amino-6-(Aminomethyl)-4-Fluoro-5-Hydroxyoxan-2-Yl]Oxy-2-Hydroxycyclohexyl]Oxy-6-(Hydroxymethyl)Oxane-3,5-Diol
Molecular Formula C18H36FN5O9
Molecular Weight 485.51
CAS Registry Number 100343-10-0
SMILES C(C1C(C(C(C(O1)OC2C(C(C(CC2N)N)OC3C(C(C(C(O3)CN)O)F)N)O)O)N)O)O
InChI 1S/C18H36FN5O9/c19-8-9(23)17(30-6(2-20)11(8)26)32-15-4(21)1-5(22)16(14(15)29)33-18-13(28)10(24)12(27)7(3-25)31-18/h4-18,25-29H,1-3,20-24H2
InChIKey DFFQPQNEFBOPNQ-UHFFFAOYSA-N
Properties
Density 1.559g/cm3 (Cal.)
Boiling point 781.999°C at 760 mmHg (Cal.)
Flash point 426.738°C (Cal.)
Market Analysis Reports
Related Products
1-Amino-1-deoxy...  3-Amino-3-Deoxy...  5-O-(5-Amino-5-...  6-Amino-9-(5-De...  (4xi)-2-Amino-2...  rac 4-Amino Dep...  7-Aminodesaceto...  7-Aminodesmethy...  2-Amino-6,7-Dia...  4-Amino-1-(3,5-...  (2S)-4-Amino-N-...  5-amino-6-[4,6-...  5-Amino-6-[4,6-...  4-Amino-2-[4,6-...  4-Amino-2-[4,6-...  4-Amino-2-[4,6-...  (2S)-4-amino-N-...  4-Amino-2-[[2-(...  2-Amino-N-(6,10...  6-[[Amino-[(3,5...