Online Database of Chemicals from Around the World

2-[Ethyl(3-Methylphenyl)Amino]-N,N,N-Trimethylethanaminium Methyl Sulfate
[CAS 10246-10-3]

Suppliers
CAS#: 10246-10-3
Product: 2-[Ethyl(3-Methylphenyl)Amino]-N,N,N-Trimethylethanaminium Methyl Sulfate
No suppilers available for the product.
Identification
Name 2-[Ethyl(3-Methylphenyl)Amino]-N,N,N-Trimethylethanaminium Methyl Sulfate
Synonyms Ammonium, [2-(N-ethyl-m-toluidino)ethyl]trimethyl-, methyl sulfate
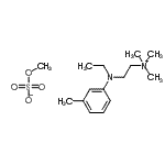
Molecular Structure CAS#: 10246-10-3, 2-[Ethyl(3-Methylphenyl)Amino]-N,N,N-Trimethylethanaminium Methyl Sulfate
Molecular Formula C15H28N2O4S
Molecular Weight 332.46
CAS Registry Number 10246-10-3
SMILES CCN(CC[N+](C)(C)C)c1cccc(c1)C.COS(=O)(=O)[O-]
InChI 1S/C14H25N2.CH4O4S/c1-6-15(10-11-16(3,4)5)14-9-7-8-13(2)12-14;1-5-6(2,3)4/h7-9,12H,6,10-11H2,1-5H3;1H3,(H,2,3,4)/q+1;/p-1
InChIKey YXNAJZGQJMATCK-UHFFFAOYSA-M
Properties
Refractive index (Cal.)
Market Analysis Reports
Related Products
6'-[Ethyl(4-Met...  3-[Ethyl-(3-Met...  Ethyl 3-[(2-met...  Ethyl 3-[(4-met...  Ethyl 3-[(3-met...  2-[(2-Ethyl-6-M...  N-Ethyl-N'-[3-[...  1-Ethyl-3-[(4-m...  6'-[Ethyl(4-met...  Ethyl 2-[4-[2-[...  (1R,5S,6S)-6-Et...  (1R,5S,6R)-6-Et...  Ethyl (1S,4R,6S...  3-Ethyl-1-methy...  3-Ethyl-1-Methy...  N-Ethyl-4-Methy...  3-Ethyl-2-Methy...  Ethyl [3-(4-met...  N-(2-Ethyl-6-Me...  N-Ethyl-N-(2-me...