Online Database of Chemicals from Around the World

(1S,3S,5Z,7R,8E,11S,12S,13E,15S,17R,21R,23R,25S)-25-(Acetyloxy)-1,11,21-Trihydroxy-17-(1R)-1-Hydroxyethyl-5,13-Bis(2-Methoxy-2-Oxoethylidene)-10,10,26,26-Tetramethyl-19-Oxo-18,27,28,29-Tetraoxatetracyclo21.3.1.13,7.111,15Nonacos-8-En-12-Yl-Butanoic Acid
[CAS 102604-78-4]

Suppliers
CAS#: 102604-78-4
Product: (1S,3S,5Z,7R,8E,11S,12S,13E,15S,17R,21R,23R,25S)-25-(Acetyloxy)-1,11,21-Trihydroxy-17-(1R)-1-Hydroxyethyl-5,13-Bis(2-Methoxy-2-Oxoethylidene)-10,10,26,26-Tetramethyl-19-Oxo-18,27,28,29-Tetraoxatetracyclo21.3.1.13,7.111,15Nonacos-8-En-12-Yl-Butanoic Acid
No suppilers available for the product.
Identification
Name (1S,3S,5Z,7R,8E,11S,12S,13E,15S,17R,21R,23R,25S)-25-(Acetyloxy)-1,11,21-Trihydroxy-17-(1R)-1-Hydroxyethyl-5,13-Bis(2-Methoxy-2-Oxoethylidene)-10,10,26,26-Tetramethyl-19-Oxo-18,27,28,29-Tetraoxatetracyclo21.3.1.13,7.111,15Nonacos-8-En-12-Yl-Butanoic Acid
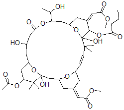
Molecular Structure CAS#: 102604-78-4, (1S,3S,5Z,7R,8E,11S,12S,13E,15S,17R,21R,23R,25S)-25-(Acetyloxy)-1,11,21-Trihydroxy-17-(1R)-1-Hydroxyethyl-5,13-Bis(2-Methoxy-2-Oxoethylidene)-10,10,26,26-Tetramethyl-19-Oxo-18,27,28,29-Tetraoxatetracyclo21.3.1.13,7.111,15Nonacos-8-En-12-Yl-Butanoic Acid
Molecular Formula C43H64O17
Molecular Weight 852.97
CAS Registry Number 102604-78-4
SMILES C\4(C1(OC(C\C(C1OC(=O)CCC)=C\C(OC)=O)CC(OC(=O)CC(O)CC2OC(O)(C(C(OC(=O)C)C2)(C)C)CC3OC(CC(/C3)=C\C(OC)=O)\C=C4)C(O)C)O)(C)C
InChI 1S/C43H64O17/c1-10-11-35(47)58-39-27(18-37(49)54-9)17-30-21-33(24(2)44)57-38(50)20-28(46)19-31-22-34(55-25(3)45)41(6,7)42(51,59-31)23-32-15-26(16-36(48)53-8)14-29(56-32)12-13-40(4,5)43(39,52)60-30/h12-13,16,18,24,28-34,39,44,46,51-52H,10-11,14-15,17,19-23H2,1-9H3/b13-12-,26-16+,27-18-
InChIKey LJHLORJKOHOIPQ-KAGVQMPYSA-N
Properties
Density 1.294g/cm3 (Cal.)
Boiling point 911.878°C at 760 mmHg (Cal.)
Flash point 262.47°C (Cal.)
Market Analysis Reports
Related Products
[(2R,3R,4S,5R,6...  1-[1-(Acetyloxy...  [1-(Acetyloxy)-...  P-[1-(Acetyloxy...  (Acetyloxy)Tric...  (3beta,12beta,1...  (6a,17b)-17-(Ac...  6beta-(Acetylox...  12-(Acetyloxy)-...  (6S,7S,13E,16S,...  (3beta,7alpha,1...  (3beta,4beta,16...  (3beta,4alpha,1...  3beta-(Acetylox...  (3S)-3-Acetylox...  [(3S,8R,9S,10R,...  [(1R,2R,4Z,8Z,1...  3-[(2E,4E)-5-[(...  (4-Acetyloxy-2,...  N-(Acetyloxy)-N...