| Santa Cruz Biotechnology, Inc. | USA | |||
|---|---|---|---|---|
![]() |
+1 (831) 457-3800 | |||
![]() |
scbt@scbt.com | |||
| Chemical manufacturer | ||||
| Sigma-Aldrich, Inc. | USA | |||
|---|---|---|---|---|
![]() |
+86 (21) 6141-5566 / 800-819-3336 | |||
![]() |
ordercn@sial.com, | |||
| Chemical manufacturer since 1992 | ||||
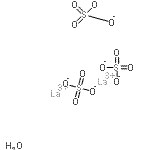
| Name | Lanthanum Sulfate Hydrate (2:3:1) |
|---|---|
| Synonyms | Lanthanum(III) sulfate hydrate; Lanthanum(III) sulfate nonahydrate; 203564_ALDRICH |
| Molecular Structure | ![]() |
| Molecular Formula | H2La2O13S3 |
| Molecular Weight | 584.01 |
| CAS Registry Number | 10294-62-9 |
| SMILES | [La+3].[La+3].[O-]S(=O)(=O)[O-].[O-]S([O-])(=O)=O.[O-]S([O-])(=O)=O.O |
| InChI | 1S/2La.3H2O4S.H2O/c;;3*1-5(2,3)4;/h;;3*(H2,1,2,3,4);1H2/q2*+3;;;;/p-6 |
| InChIKey | BUIMQIFTKKAXDZ-UHFFFAOYSA-H |
| Refractive index | (Cal.) |
|---|---|
| Market Analysis Reports |