Online Database of Chemicals from Around the World

6-O-alpha-Maltosyl-beta-cyclodextrin
[CAS 104723-60-6]

List of Suppliers
Simagchem Corporation China
www.simagchem.com
+86 13806087780
+86 (592) 268-0237
sale@simagchem.com
Chemical manufacturer since 2002
chemBlink Standard supplier since 2008
Jiangsu Fengyuan Biotechnology Co., Ltd. China
www.fycd100.com
+86 (527) 8469-6488
+86 (527) 8469-6438
fycd100@gmail.com
Chemical manufacturer
chemBlink Standard supplier since 2010
BOC Sciences USA
www.bocsci.com
+1 (631) 485-4226
+1 (631) 614-7828
info@bocsci.com
Chemical manufacturer
chemBlink Standard supplier since 2010
Hangzhou Leap Chem Co., Ltd. China
www.leapchem.com
+86 (571) 8771-1850
market19@leapchem.com
QQ Chat
Chemical manufacturer since 2006
chemBlink Standard supplier since 2015

Identification
ClassificationBiochemical >> Carbohydrate >> Oligosaccharide
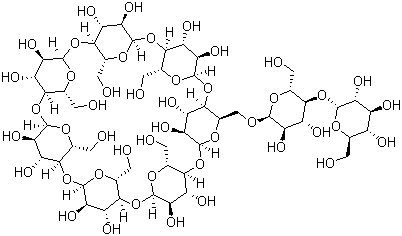
Name6-O-alpha-Maltosyl-beta-cyclodextrin
Molecular Structure6-O-alpha-Maltosyl-beta-cyclodextrin molecular structure (CAS 104723-60-6)
Molecular FormulaC54H90O45
Molecular Weight1459.27
CAS Registry Number104723-60-6
Safety Data
SDSAvailable
Market Analysis Reports
Related Products
Maltooctaose  Maltopentaose  Maltoryzine  Maltosan Hexaac...  Maltose  D-(+)-Maltose m...  alpha-D-Maltose...  Maltose 1-Phosp...  Maltose phospho...  Maltosine  6-O-(Maltosyl)C...  alpha-Maltosyl ...  alpha-Maltosyl ...  Maltosylsucrose  Maltotetraose  Maltotetratol  Maltotriitol  D-Maltotriose  D-Maltotriose h...  D-Maltotriose P...