Online Database of Chemicals from Around the World

N-[(E,3R,4R,5R,9S,10S,11S)-10-Hydroxy-11-[(1S,3S,4R,5S,7R,8S,9R,12E,14E,17S,19R)-17-Hydroxy-4-(Hydroxymethyl)-3,5,7-Trimethoxy-8,14-Dimethyl-11-Oxo-10,23-Dioxabicyclo[17.3.1]Tricosa-12,14,20-Trien-9-Yl]-4-Methoxy-3,5,9-Trimethyl-6-Oxododec-1-Enyl]-N-Methylformamide
[CAS 105694-32-4]

Suppliers
CAS#: 105694-32-4
Product: N-[(E,3R,4R,5R,9S,10S,11S)-10-Hydroxy-11-[(1S,3S,4R,5S,7R,8S,9R,12E,14E,17S,19R)-17-Hydroxy-4-(Hydroxymethyl)-3,5,7-Trimethoxy-8,14-Dimethyl-11-Oxo-10,23-Dioxabicyclo[17.3.1]Tricosa-12,14,20-Trien-9-Yl]-4-Methoxy-3,5,9-Trimethyl-6-Oxododec-1-Enyl]-N-Methylformamide
No suppilers available for the product.
Identification
Name N-[(E,3R,4R,5R,9S,10S,11S)-10-Hydroxy-11-[(1S,3S,4R,5S,7R,8S,9R,12E,14E,17S,19R)-17-Hydroxy-4-(Hydroxymethyl)-3,5,7-Trimethoxy-8,14-Dimethyl-11-Oxo-10,23-Dioxabicyclo[17.3.1]Tricosa-12,14,20-Trien-9-Yl]-4-Methoxy-3,5,9-Trimethyl-6-Oxododec-1-Enyl]-N-Methylformamide
Synonyms N-[(E,3R,4R,5R,9S,10S,11S)-10-Hydroxy-11-[(1S,3S,4R,5S,7R,8S,9R,12E,14E,17S,19R)-17-Hydroxy-4-(Hydroxymethyl)-3,5,7-Trimethoxy-8,14-Dimethyl-11-Oxo-10,23-Dioxabicyclo[17.3.1]Tricosa-12,14,20-Trien-9-Yl]-4-Methoxy-3,5,9-Trimethyl-6-Oxo-Dodec-1-Enyl]-N-Methyl-Formamide; N-[(E,3R,4R,5R,9S,10S,11S)-10-Hydroxy-11-[(1S,3S,4R,5S,7R,8S,9R,12E,14E,17S,19R)-17-Hydroxy-11-Keto-3,5,7-Trimethoxy-8,14-Dimethyl-4-Methylol-10,23-Dioxabicyclo[17.3.1]Tricosa-12,14,20-Trien-9-Yl]-6-Keto-4-Methoxy-3,5,9-Trimethyl-Dodec-1-Enyl]-N-Methyl-Formamide; N-[(E,3R,4R,5R,9S,10S,11S)-10-Hydroxy-11-[(1S,3S,4R,5S,7R,8S,9R,12E,14E,17S,19R)-17-Hydroxy-4-(Hydroxymethyl)-3,5,7-Trimethoxy-8,14-Dimethyl-11-Oxo-10,23-Dioxabicyclo[17.3.1]Tricosa-12,14,20-Trien-9-Yl]-4-Methoxy-3,5,9-Trimethyl-6-Oxo-Dodec-1-Enyl]-N-Methyl-Methanamide
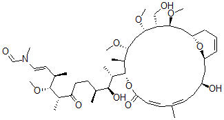
Molecular Structure CAS#: 105694-32-4, N-[(E,3R,4R,5R,9S,10S,11S)-10-Hydroxy-11-[(1S,3S,4R,5S,7R,8S,9R,12E,14E,17S,19R)-17-Hydroxy-4-(Hydroxymethyl)-3,5,7-Trimethoxy-8,14-Dimethyl-11-Oxo-10,23-Dioxabicyclo[17.3.1]Tricosa-12,14,20-Trien-9-Yl]-4-Methoxy-3,5,9-Trimethyl-6-Oxododec-1-Enyl]-N-Methylformamide
Molecular Formula C45H75NO12
Molecular Weight 822.09
CAS Registry Number 105694-32-4
SMILES [C@@H]1([C@H]([C@H]([C@H](CCC([C@@H]([C@@H]([C@@H](/C=C/N(C=O)C)C)OC)C)=O)C)O)C)[C@H]([C@@H](C[C@@H]([C@@H]([C@H](C[C@H]2O[C@H](C[C@H](C\C=C(\C=C\C(O1)=O)C)O)C=CC2)OC)CO)OC)OC)C
InChI 1S/C45H75NO12/c1-28-15-18-34(49)23-35-13-12-14-36(57-35)24-40(54-9)37(26-47)41(55-10)25-39(53-8)32(5)45(58-42(51)20-16-28)33(6)43(52)29(2)17-19-38(50)31(4)44(56-11)30(3)21-22-46(7)27-48/h12-13,15-16,20-22,27,29-37,39-41,43-45,47,49,52H,14,17-19,23-26H2,1-11H3/b20-16+,22-21+,28-15+/t29-,30+,31-,32-,33-,34-,35-,36-,37+,39+,40-,41-,43-,44+,45-/m0/s1
InChIKey DSHVEBDLSYMWSX-MRGDGBMUSA-N
Properties
Density 1.129g/cm3 (Cal.)
Boiling point 907.887°C at 760 mmHg (Cal.)
Flash point 502.872°C (Cal.)
Market Analysis Reports
Related Products
10-Hydroxy-8-[(...  8-Hydroxy-2-[8-...  (-)-5-Hydroxy-3...  [5-Hydroxy-6-[[...  Hydroxy[[5-Hydr...  Hydroxy{[5-hydr...  3-{5-Hydroxy-8-...  [(E)-5-[Hydroxy...  4-O-[2-Hydroxy-...  1-Hydroxy-13-[(...  2-[2-[1-Hydroxy...  2-[[(2S,3S)-3-H...  4-Hydroxy-5-((2...  7-[2-Hydroxy-3-...  2(R,S)-Hydroxy-...  3-Hydroxy-4-[[(...  2-Hydroxy-4-[[(...  2-Hydroxy-2-[2-...  5'-O-{Hydroxy[(...  (3Z)-5-Hydroxy-...