|
CAS#: 106777-22-4 Product: tert-Butyloxycarbonyl-aminoisobutyryl-valyl-aminoisobutyryl-aminoisobutyryl-valyl-valyl-valyl-aminoisobutyryl-valyl-aminoisobutyryl methyl ester No suppilers available for the product. |
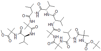
| Name | tert-Butyloxycarbonyl-aminoisobutyryl-valyl-aminoisobutyryl-aminoisobutyryl-valyl-valyl-valyl-aminoisobutyryl-valyl-aminoisobutyryl methyl ester |
|---|---|
| Synonyms | Methyl 2-[[(2S)-2-[[2-[[(2S)-2-[[(2S)-2-[[(2S)-2-[[2-[[2-[[(2S)-2-[[2-(Tert-Butoxycarbonylamino)-2-Methyl-Propanoyl]Amino]-3-Methyl-Butanoyl]Amino]-2-Methyl-Propanoyl]Amino]-2-Methyl-Propanoyl]Amino]-3-Methyl-Butanoyl]Amino]-3-Methyl-Butanoyl]Amino]-3-Methyl-Butanoyl]Amino]-2-Methyl-Propanoyl]Amino]-3-Methyl-Butanoyl]Amino]-2-Methyl-Propanoate; 2-[[(2S)-2-[[2-[[(2S)-2-[[(2S)-2-[[(2S)-2-[[2-[[2-[[(2S)-2-[[2-[(Tert-Butoxy-Oxomethyl)Amino]-2-Methyl-1-Oxopropyl]Amino]-3-Methyl-1-Oxobutyl]Amino]-2-Methyl-1-Oxopropyl]Amino]-2-Methyl-1-Oxopropyl]Amino]-3-Methyl-1-Oxobutyl]Amino]-3-Methyl-1-Oxobutyl]Amino]-3-Methyl-1-Oxobutyl]Amino]-2-Methyl-1-Oxopropyl]Amino]-3-Methyl-1-Oxobutyl]Amino]-2-Methylpropanoic Acid Methyl Ester; 2-[[(2S)-2-[[2-[[(2S)-2-[[(2S)-2-[[(2S)-2-[[2-[[2-[[(2S)-2-[[2-(Tert-Butoxycarbonylamino)-2-Methyl-Propanoyl]Amino]-3-Methyl-Butanoyl]Amino]-2-Methyl-Propanoyl]Amino]-2-Methyl-Propanoyl]Amino]-3-Methyl-Butanoyl]Amino]-3-Methyl-Butanoyl]Amino]-3-Methyl-Butanoyl]Amino]-2-Methyl-Propanoyl]Amino]-3-Methyl-Butanoyl]Amino]-2-Methyl-Propionic Acid Methyl Ester |
| Molecular Structure | ![]() |
| Molecular Formula | C51H92N10O13 |
| Molecular Weight | 1053.35 |
| CAS Registry Number | 106777-22-4 |
| SMILES | [C@H](C(NC(C(=O)OC)(C)C)=O)(NC(C(NC([C@@H](NC([C@@H](NC([C@@H](NC(C(NC(C(NC([C@@H](NC(C(NC(=O)OC(C)(C)C)(C)C)=O)C(C)C)=O)(C)C)=O)(C)C)=O)C(C)C)=O)C(C)C)=O)C(C)C)=O)(C)C)=O)C(C)C |
| InChI | 1S/C51H92N10O13/c1-25(2)30(35(62)53-32(27(5)6)37(64)57-47(14,15)40(67)55-34(29(9)10)39(66)59-51(22,23)44(71)73-24)52-36(63)31(26(3)4)54-41(68)48(16,17)60-43(70)50(20,21)58-38(65)33(28(7)8)56-42(69)49(18,19)61-45(72)74-46(11,12)13/h25-34H,1-24H3,(H,52,63)(H,53,62)(H,54,68)(H,55,67)(H,56,69)(H,57,64)(H,58,65)(H,59,66)(H,60,70)(H,61,72)/t30-,31-,32-,33-,34-/m0/s1 |
| InChIKey | YDLOIAXXVVOSFD-LJADHVKFSA-N |
| Density | 1.116g/cm3 (Cal.) |
|---|---|
| Boiling point | 1228.946°C at 760 mmHg (Cal.) |
| Flash point | 697.042°C (Cal.) |
| Market Analysis Reports |