Online Database of Chemicals from Around the World

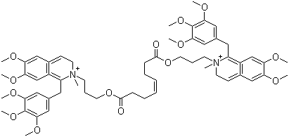
2,2'-[(1,8-Dioxo-4-octene-1,8-diyl)bis(oxy-3,1-propanediyl)]bis[1,2,3,4-tetrahydro-6,7-dimethoxy-2-methyl-1-[(3,4,5-trimethoxyphenyl)methyl]isoquinolinium
[CAS 106791-40-6]

List of Suppliers
BOC Sciences USA
www.bocsci.com
+1 (631) 485-4226
+1 (631) 614-7828
info@bocsci.com
Chemical manufacturer
chemBlink Standard supplier since 2010
Alfa Chemistry USA
www.alfa-chemistry.com
+1 (201) 478-8534
+1 (516) 927-0118
inquiry@alfa-chemistry.com
Chemical distributor since 2012
chemBlink Standard supplier since 2012

Identification
Name2,2'-[(1,8-Dioxo-4-octene-1,8-diyl)bis(oxy-3,1-propanediyl)]bis[1,2,3,4-tetrahydro-6,7-dimethoxy-2-methyl-1-[(3,4,5-trimethoxyphenyl)methyl]isoquinolinium
Molecular Structure2,2'-[(1,8-Dioxo-4-octene-1,8-diyl)bis(oxy-3,1-propanediyl)]bis[1,2,3,4-tetrahydro-6,7-dimethoxy-2-methyl-1-[(3,4,5-trimethoxyphenyl)methyl]isoquinolinium molecular structure (CAS 106791-40-6)
Molecular FormulaC58H80N2O14
Molecular Weight1029.28
CAS Registry Number106791-40-6
Market Analysis Reports
Related Products
1,3-Dioxo-1H,3H...  1,3-Dioxo-1H,3H...  2-(1,3-Dioxonap...  (8E,10E)-7,12-D...  9,12-Dioxooctad...  3,6-Dioxooctane...  2,2'-[(1,8-Diox...  1,1'-[(1,8-Diox...  5,7-Dioxooctano...  (2Z)4,6-Dioxooc...  (18a,20b)-3,11-...  (20beta)-3,11-D...  3,12-Dioxoolean...  2-(3,5-Dioxo-10...  N-[(1R,6S)-2,5-...  N-(2,5-Dioxo-7-...  (1R,5S,6R)-2,4-...  (1R,5S,6R)-2,4-...  N-(2,4-Dioxo-3-...  2,2-Dioxo-[1,2,...