Online Database of Chemicals from Around the World

Amphoteronolide B
[CAS 106799-07-9]

Suppliers
CAS#: 106799-07-9
Product: Amphoteronolide B
No suppilers available for the product.
Identification
Name Amphoteronolide B
Synonyms 14,39-Dioxabicyclo(33.3.1)nonatriaconta-19,21,23,25,27,29,31-heptaene-36-carboxylic acid, 1,3,5,6,9,11,17,33,37-nonahydroxy-15,16,18-trimethyl-13-oxo-, (1R-(1R*,3S*,5R*,6R*,9R*,11R*,15S*,16R*,17R*,18S*,19E,21E,23E,25E,27E,29E,31E,33R*,35S*,36R*,37S*))-; Amphotericin B aglycone; Amphoteronolide B
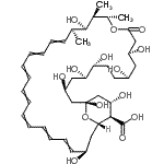
Molecular Structure CAS#: 106799-07-9, Amphoteronolide B
Molecular Formula C41H62O14
Molecular Weight 778.92
CAS Registry Number 106799-07-9
SMILES O=C1O[C@@H](C)[C@H](C)[C@H](O)[C@H](C=CC=CC=CC=CC=CC=CC=C[C@H](O)C[C@@H]2O[C@](O)(C[C@@H](O)C[C@@H](O)[C@H](O)CC[C@@H](O)C[C@@H](O)C1)C[C@H](O)[C@H]2C(=O)O)C
InChI 1S/C41H62O14/c1-26-16-14-12-10-8-6-4-5-7-9-11-13-15-17-29(42)22-36-38(40(51)52)35(48)25-41(53,55-36)24-32(45)21-34(47)33(46)19-18-30(43)20-31(44)23-37(49)54-28(3)27(2)39(26)50/h4-17,26-36,38-39,42-48,50,53H,18-25H2,1-3H3,(H,51,52)/t26-,27-,28-,29-,30+,31+,32-,33+,34+,35-,36-,38+,39+,41+/m0/s1
InChIKey VOPKRGFUUMVSHY-ZQCSYNFZSA-N
Properties
Density 1.209g/cm3 (Cal.)
Boiling point 1038.996°C at 760 mmHg (Cal.)
Flash point 308.425°C (Cal.)
Refractive index 1.545 (Cal.)
Market Analysis Reports
Related Products
(+)-Amphetamine...  Amphethinile;2-...  Amphibine B;C09...  Amphidinolide F...  Amphoglucamine;...  Amphoglucomine;...  Ampholine  Amphomycin  Amphotalide;2-[...  Amphotericin B;...  L-Ampicillin;(2...  Ampicillin;(2S,...  Ampicillin;Ampi...  Ampicillin-Dicl...  Ampicillinoic A...  Ampicillin-oxac...  Ampicillin sodi...  Ampiroxicam;4-[...  Ampkinone  Amplisyn Red;Am...