Online Database of Chemicals from Around the World

Conus Magus Toxin
[CAS 107407-86-3]

Suppliers
CAS#: 107407-86-3
Product: Conus Magus Toxin
No suppilers available for the product.
Identification
Name Conus Magus Toxin
Synonyms Omega-Cmtx; Omega-Conotoxin (Conus Magus); Omega-Conotoxin M Viia (Reduced)
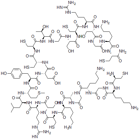
Molecular Structure CAS#: 107407-86-3, Conus Magus Toxin
Molecular Formula C102H178N36O32S7
Molecular Weight 2645.17
CAS Registry Number 107407-86-3
SMILES [C@@H](CCCNC(N)=N)(NC([C@@H](NC([C@@H](NC(CNC([C@@H](NC([C@@H](NC([C@H](NC([C@@H](NC(=O)[C@@H](NC([C@@H](NC([C@@H](NC([C@@H](NC([C@H](CO)NC([C@H](CS)NC([C@H](CCCCN)NC([C@H](C)NC(=O)CNC([C@H](CCCCN)NC(=O)CNC([C@H](CCCCN)NC([C@@H](N)CS)=O)=O)=O)=O)=O)=O)=O)CCCNC(N)=N)=O)CC(C)C)=O)CCSC)=O)CC1=CC=C(C=C1)O)CC(=O)O)=O)CS)=O)CS)=O)[C@@H](C)O)=O)=O)CO)=O)CS)=O)C(=O)N[C@@H](CO)C(=O)NCC(N[C@H](C(=O)N[C@@H](CS)C(=O)N)CCCCN)=O
InChI 1S/C102H178N36O32S7/c1-50(2)34-63(128-87(157)60(20-14-31-113-101(109)110)125-95(165)68(43-141)132-97(167)71(47-174)134-89(159)59(19-9-13-30-106)123-81(151)51(3)119-74(144)37-115-83(153)56(16-6-10-27-103)120-75(145)38-116-84(154)57(17-7-11-28-104)124-82(152)55(107)44-171)91(161)127-62(26-33-177-5)90(160)129-64(35-53-22-24-54(143)25-23-53)92(162)130-65(36-78(148)149)93(163)135-72(48-175)98(168)137-73(49-176)99(169)138-79(52(4)142)100(170)118-40-77(147)122-67(42-140)94(164)136-70(46-173)96(166)126-61(21-15-32-114-102(111)112)88(158)131-66(41-139)85(155)117-39-76(146)121-58(18-8-12-29-105)86(156)133-69(45-172)80(108)150/h22-25,50-52,55-73,79,139-143,171-176H,6-21,26-49,103-107H2,1-5H3,(H2,108,150)(H,115,153)(H,116,154)(H,117,155)(H,118,170)(H,119,144)(H,120,145)(H,121,146)(H,122,147)(H,123,151)(H,124,152)(H,125,165)(H,126,166)(H,127,161)(H,128,157)(H,129,160)(H,130,162)(H,131,158)(H,132,167)(H,133,156)(H,134,159)(H,135,163)(H,136,164)(H,137,168)(H,138,169)(H,148,149)(H4,109,110,113)(H4,111,112,114)/t51-,52+,55-,56-,57-,58-,59-,60-,61-,62-,63-,64-,65-,66-,67-,68-,69-,70-,71-,72+,73-,79-/m0/s1
InChIKey WGJAVYDGIUBMQI-BWDUIEOPSA-N
Market Analysis Reports
Related Products
omega-Conotoxin...  W-Conotoxin S V...  omega-Conotoxin...  Continine-2,4,5...  Contortin;1-[3-...  Contour;Silver ...  Contralume ultr...  Contramibial;(2...  Contryphan R;Gl...  Contusugene lad...  Convallaria Maj...  Convallatoxol;4...  Convallotoxin;o...  Convolvine;3,4-...  Convolvulus Arv...  Convulxin  Coomassie Fast ...  Coomassie Navy ...  (-)-alpha-Copae...  Copaiba balsaM,...