|
CAS#: 109920-83-4 Product: 1-(1,1-Dimethylethylamino)-3-(2-(3-(1H-indol-4-yl)propyl)phenoxy)-2-propanol fumarate No suppilers available for the product. |
| Name | 1-(1,1-Dimethylethylamino)-3-(2-(3-(1H-indol-4-yl)propyl)phenoxy)-2-propanol fumarate |
|---|---|
| Synonyms | 1-(1,1-Dimethylethylamino)-3-(2-(3-(1H-Indol-4-Yl)Propyl)Phenoxy)-2-Propanol Fumarate; 2-Propanol, 1-((1,1-Dimethylethyl)Amino)-3-(2-(3-(1H-Indol-4-Yl)Propyl)Phenoxy)-, (E)-2-Butenedioate (2:1) (Salt) |
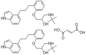
| Molecular Structure | ![]() |
| Molecular Formula | C52H68N4O8 |
| Molecular Weight | 877.13 |
| CAS Registry Number | 109920-83-4 |
| SMILES | C1=C[NH]C2=C1C(=CC=C2)CCCC3=CC=CC=C3OCC(O)CNC(C)(C)C.C4=C[NH]C5=C4C(=CC=C5)CCCC6=CC=CC=C6OCC(O)CNC(C)(C)C.O=C(O)\C=C\C(=O)O |
| InChI | 1S/2C24H32N2O2.C4H4O4/c2*1-24(2,3)26-16-20(27)17-28-23-13-5-4-8-19(23)11-6-9-18-10-7-12-22-21(18)14-15-25-22;5-3(6)1-2-4(7)8/h2*4-5,7-8,10,12-15,20,25-27H,6,9,11,16-17H2,1-3H3;1-2H,(H,5,6)(H,7,8)/b;;2-1+ |
| InChIKey | SFQDJCLMNVHUCB-WXXKFALUSA-N |
| Boiling point | 578.9°C at 760 mmHg (Cal.) |
|---|---|
| Flash point | 303.9°C (Cal.) |
| Market Analysis Reports |