| Synonyms |
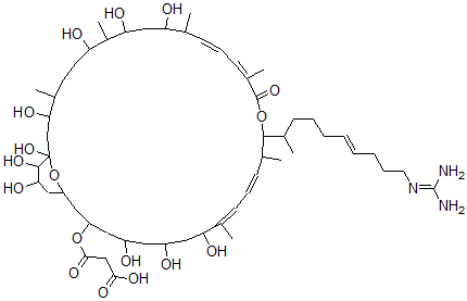
3-[[(13E,15E,21E,23E)-19-[(E)-9-Guanidino-1-Methyl-Non-5-Enyl]-1,3,7,9,11,25,27,29,35,36-Decahydroxy-4,8,12,16,20,24-Hexamethyl-17-Oxo-18,37-Dioxabicyclo[31.3.1]Heptatriaconta-13,15,21,23-Tetraen-31-Yl]Oxy]-3-Oxo-Propanoic Acid; 3-[[(13E,15E,21E,23E)-19-[(E)-9-Guanidino-1-Methylnon-5-Enyl]-1,3,7,9,11,25,27,29,35,36-Decahydroxy-4,8,12,16,20,24-Hexamethyl-17-Oxo-18,37-Dioxabicyclo[31.3.1]Heptatriaconta-13,15,21,23-Tetraen-31-Yl]Oxy]-3-Oxopropanoic Acid; 3-[[(13E,15E,21E,23E)-19-[(E)-9-Guanidino-1-Methyl-Non-5-Enyl]-1,3,7,9,11,25,27,29,35,36-Decahydroxy-17-Keto-4,8,12,16,20,24-Hexamethyl-18,37-Dioxabicyclo[31.3.1]Heptatriaconta-13,15,21,23-Tetraen-31-Yl]Oxy]-3-Keto-Propionic Acid |
| InChI |
1S/C55H93N3O17/c1-32-17-14-19-36(5)51(35(4)16-12-10-8-9-11-13-23-58-54(56)57)74-53(71)37(6)20-15-18-33(2)45(63)29-46(64)38(7)43(61)22-21-34(3)48(66)31-55(72)52(70)47(65)28-42(75-55)27-41(73-50(69)30-49(67)68)25-39(59)24-40(60)26-44(32)62/h8-9,14-15,17-20,33-36,38-48,51-52,59-66,70,72H,10-13,16,21-31H2,1-7H3,(H,67,68)(H4,56,57,58)/b9-8+,18-15+,19-14+,32-17+,37-20+ |