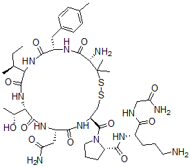
Identification
| Name |
1(beta-Mercapto(beta,beta-cyclopentamethylene)propionic acid)-2-phe(Me)-4-thr-8-orn-oxytocin |
| Synonyms |
(2S)-N-[(1S)-4-Amino-1-[(2-Amino-2-Oxo-Ethyl)Carbamoyl]Butyl]-1-[(4R,7S,10S,16S,19S)-19-Amino-7-(2-Amino-2-Oxo-Ethyl)-10-(1-Hydroxyethyl)-20,20-Dimethyl-16-[(4-Methylphenyl)Methyl]-6,9,12,15,18-Pentaoxo-13-Sec-Butyl-1,2-Dithia-5,8,11,14,17-Pentazacycloicosane-4-Carbonyl]Pyrrolidine-2-Carboxamide; (2S)-N-[(1S)-4-Amino-1-[[(2-Amino-2-Oxoethyl)Amino]-Oxomethyl]Butyl]-1-[[(4R,7S,10S,16S,19S)-19-Amino-7-(2-Amino-2-Oxoethyl)-10-(1-Hydroxyethyl)-20,20-Dimethyl-16-[(4-Methylphenyl)Methyl]-6,9,12,15,18-Pentaoxo-13-Sec-Butyl-1,2-Dithia-5,8,11,14,17-Pentazacycloicos-4-Yl]-Oxomethyl]-2-Pyrrolidinecarboxamide; (2S)-N-[(1S)-4-Amino-1-[(2-Amino-2-Keto-Ethyl)Carbamoyl]Butyl]-1-[(4R,7S,10S,16S,19S)-19-Amino-7-(2-Amino-2-Keto-Ethyl)-10-(1-Hydroxyethyl)-6,9,12,15,18-Pentaketo-20,20-Dimethyl-16-(4-Methylbenzyl)-13-Sec-Butyl-1,2-Dithia-5,8,11,14,17-Pentazacycloicosane-4-Carbonyl]Pyrrolidine-2-Carboxamide |
|
| Molecular Structure |
 |
| Molecular Formula |
C44H70N12O11S2 |
| Molecular Weight |
1007.23 |
| CAS Registry Number |
110220-69-4 |
| SMILES |
[C@H]1(NC(=O)C(NC(=O)[C@@H](NC(=O)[C@H](N)C(SSC[C@H](NC(=O)[C@@H](NC1=O)CC(=O)N)C(=O)N2[C@H](C(=O)N[C@H](C(=O)NCC(=O)N)CCCN)CCC2)(C)C)CC3=CC=C(C=C3)C)[C@H](CC)C)[C@H](O)C |
| InChI |
1S/C44H70N12O11S2/c1-7-23(3)33-40(64)55-34(24(4)57)41(65)51-28(19-31(46)58)37(61)53-29(43(67)56-17-9-11-30(56)39(63)50-26(10-8-16-45)36(60)49-20-32(47)59)21-68-69-44(5,6)35(48)42(66)52-27(38(62)54-33)18-25-14-12-22(2)13-15-25/h12-15,23-24,26-30,33-35,57H,7-11,16-21,45,48H2,1-6H3,(H2,46,58)(H2,47,59)(H,49,60)(H,50,63)(H,51,65)(H,52,66)(H,53,61)(H,54,62)(H,55,64)/t23-,24+,26-,27-,28-,29-,30-,33?,34-,35-/m0/s1 |
| InChIKey |
BBVOEYWBXSEVSR-MIOBVDQASA-N |
|