| BOC Sciences | USA | |||
|---|---|---|---|---|
![]() | www.bocsci.com | |||
![]() | +1 (631) 485-4226 | |||
![]() | +1 (631) 614-7828 | |||
![]() | info@bocsci.com | |||
| Chemical manufacturer | ||||
| chemBlink Standard supplier since 2010 | ||||
| Glentham Life Sciences | UK | |||
|---|---|---|---|---|
![]() | www.glenthamls.com | |||
![]() | +44 (2033) 978-798 | |||
![]() | +44 (2033) 978-909 | |||
![]() | info@glenthamls.com | |||
| Chemical distributor since 2013 | ||||
| chemBlink Standard supplier since 2013 | ||||
| IRIS Biotech GmbH | Germany | |||
|---|---|---|---|---|
![]() | www.iris-biotech.de | |||
![]() | +49 (9231) 961-973 | |||
![]() | +49 (9231) 961-999 | |||
![]() | info@iris-biotech.de | |||
| Chemical manufacturer since 1788 | ||||
| LKT Laboratories, Inc. | USA | |||
|---|---|---|---|---|
![]() | www.lktlabs.com | |||
![]() | +1 (888) 558-5227 | |||
![]() | +1 (651) 644-8357 | |||
![]() | peacerli@mbolin-lktlabs.com | |||
| Chemical manufacturer | ||||
| Santa Cruz Biotechnology, Inc. | USA | |||
|---|---|---|---|---|
![]() | www.scbt.com | |||
![]() | +1 (831) 457-3800 | |||
![]() | +1 (831) 457-3801 | |||
![]() | scbt@scbt.com | |||
| Chemical manufacturer | ||||
| Classification | API >> Antibiotics >> Other antibiotics |
|---|---|
| Name | Oligomycin B |
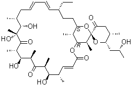
| Molecular Structure | ![]() |
| Molecular Formula | C45H72O12 |
| Molecular Weight | 805.05 |
| CAS Registry Number | 11050-94-5 |
| EC Number | 234-275-5 |
| Solubility | Sparingly soluble (14 g/L) (25 °C), Calc.* |
|---|---|
| Density | 1.17±0.1 g/cm3 (20 °C 760 Torr), Calc.* |
| Melting point | 160-161 °C** |
| * | Calculated using Advanced Chemistry Development (ACD/Labs) Software V11.02 (©1994-2014 ACD/Labs) |
| ** | Masamune, Satoru |
| Hazard Symbols | |||||||||
|---|---|---|---|---|---|---|---|---|---|
| Risk Statements | R22 Details | ||||||||
| Hazard Classification | |||||||||
| |||||||||
| SDS | Available | ||||||||
| Market Analysis Reports |