Online Database of Chemicals from Around the World
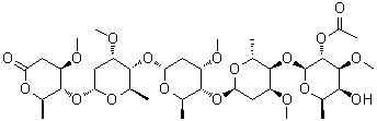
O-2-O-Acetyl-6-deoxy-3-O-methyl-beta-D-galactopyranosyl-(1→4)-O-2,6-dideoxy-3-O-methyl-beta-D-ribo-hexopyranosyl-(1→4)-O-2,6-dideoxy-3-O-methyl-beta-D-ribo-hexopyranosyl-(1→4)-O-2,6-dideoxy-3-O-methyl-beta-D-ribo-hexopyranosyl-(1→4)-2,6-dideoxy-3-O-methyl-D-arabino-hexonic acid delta-lactone
[CAS 110764-09-5]
Identification| Name | O-2-O-Acetyl-6-deoxy-3-O-methyl-beta-D-galactopyranosyl-(1→4)-O-2,6-dideoxy-3-O-methyl-beta-D-ribo-hexopyranosyl-(1→4)-O-2,6-dideoxy-3-O-methyl-beta-D-ribo-hexopyranosyl-(1→4)-O-2,6-dideoxy-3-O-methyl-beta-D-ribo-hexopyranosyl-(1→4)-2,6-dideoxy-3-O-methyl-D-arabino-hexonic acid delta-lactone |
|---|
|
| Molecular Structure |  |
| Molecular Formula | C37H62O18 |
| Molecular Weight | 794.88 |
| CAS Registry Number | 110764-09-5 |
|
Properties
| Solubility | Freely soluble (270 g/L) (25 °C), Calc.* |
| Density | 1.26±0.1 g/cm3 (20 °C 760 Torr), Calc.* |
|
| * | Calculated using Advanced Chemistry Development (ACD/Labs) Software V11.02 (©1994-2017 ACD/Labs) |
|
Related Products