Online Database of Chemicals from Around the World

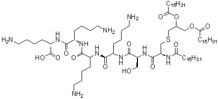
S-[2,3-Bis[(1-oxohexadecyl)oxy]propyl]-N-(1-oxohexadecyl)-L-cysteinyl-L-seryl-L-lysyl-L-lysyl-L-lysyl-L-lysine
[CAS 112208-00-1]

List of Suppliers
BOC Sciences USA
www.bocsci.com
+1 (631) 485-4226
+1 (631) 614-7828
info@bocsci.com
Chemical manufacturer
chemBlink Standard supplier since 2010
Creative Peptides USA
www.creative-peptides.com
+1 (631) 624-4882
+1 (631) 614-7828
info@creative-peptides.com
Chemical manufacturer
chemBlink Standard supplier since 2010
Tocris Bioscience Inc. USA
www.tocris.com
+1 (636) 207-7651
+1 (636) 207-7683
customerservice.na@bio-techne.com
Chemical manufacturer since 1982

Identification
NameS-[2,3-Bis[(1-oxohexadecyl)oxy]propyl]-N-(1-oxohexadecyl)-L-cysteinyl-L-seryl-L-lysyl-L-lysyl-L-lysyl-L-lysine
SynonymsP 3C; Pam3CSK4; Pam3CysSK4
Molecular StructureS-[2,3-Bis[(1-oxohexadecyl)oxy]propyl]-N-(1-oxohexadecyl)-L-cysteinyl-L-seryl-L-lysyl-L-lysyl-L-lysyl-L-lysine molecular structure (CAS 112208-00-1)
Molecular FormulaC81H156N10O13S
Molecular Weight1510.23
CAS Registry Number112208-00-1
Properties
SolubilitySlightly soluble (4.7 g/L) (25 °C), Calc.*
Density1.054±0.06 g/cm3 (20 °C 760 Torr), Calc.*
*Calculated using Advanced Chemistry Development (ACD/Labs) Software V11.02 (©1994-2013 ACD/Labs)
Safety Data
SDSAvailable
Market Analysis Reports
Related Products
Bis(2-Oxo-1,2-D...  Bis[2-((oxo)dip...  2,2-Bis[[(1-Oxo...  (T-4)-Bis[N-(1-...  N2,N6-Bis(1-Oxo...  1,4-Bis(1-Oxodo...  Bis(2-Oxoethyl)...  2,2-Bis[[(1-Oxo...  2,2-Bis[[(1-Oxo...  5-[2-[2,3-Bis(1...  2,6-Bis[(1-Oxoh...  2,2-Bis[[(1-Oxo...  Bis(1-Oxoisonon...  Bis(Oxolan-2-Yl...  2,2-Bis[[(1-Oxo...  Bis(1-Oxononyl)...  (9Z,12Z)-2,2-Bi...  (2R)-2,3-Bis[[(...  2,3-Bis(14-Oxoo...  (Z,Z)-1,4-Bis[2...