|
CAS#: 112209-92-4 Product: (4,4'-Dehydrophenylalanine)Gramicidin S No suppilers available for the product. |
| Name | (4,4'-Dehydrophenylalanine)Gramicidin S |
|---|---|
| Synonyms | 2-((Z)-Alpha,Beta-Didehydrophenylalanine)-7-((Z)-Alpha,Beta-Didehydrophenylalanine)Gramicidin S; Gramicidin S, 2-((Z)-Alpha,Beta-Didehydrophenylalanine)-7-((Z)-Alpha,Beta-Didehydrophenylalanine)-; Phe-Gramicidin S |
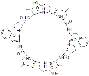
| Molecular Structure | ![]() |
| Molecular Formula | C60H88N12O10 |
| Molecular Weight | 1137.43 |
| CAS Registry Number | 112209-92-4 |
| SMILES | C5=C(\C=C/1NC(=O)C(NC(=O)C(NC(=O)C(NC(=O)C4N(C(=O)\C(NC(=O)C(NC(=O)C(NC(=O)C(NC(=O)C2N(C1=O)CCC2)C(C)C)CCCN)CC(C)C)=C/C3=CC=CC=C3)CCC4)C(C)C)CCCN)CC(C)C)C=CC=C5 |
| InChI | 1S/C60H88N12O10/c1-35(2)31-43-53(75)67-45(33-39-19-11-9-12-20-39)59(81)71-29-17-25-47(71)55(77)70-50(38(7)8)58(80)64-42(24-16-28-62)52(74)66-44(32-36(3)4)54(76)68-46(34-40-21-13-10-14-22-40)60(82)72-30-18-26-48(72)56(78)69-49(37(5)6)57(79)63-41(23-15-27-61)51(73)65-43/h9-14,19-22,33-38,41-44,47-50H,15-18,23-32,61-62H2,1-8H3,(H,63,79)(H,64,80)(H,65,73)(H,66,74)(H,67,75)(H,68,76)(H,69,78)(H,70,77)/b45-33+,46-34+ |
| InChIKey | AARKFFQQFCIDAL-NCOOAAOESA-N |
| Density | 1.257g/cm3 (Cal.) |
|---|---|
| Boiling point | 1448.18°C at 760 mmHg (Cal.) |
| Flash point | 829.629°C (Cal.) |
| Market Analysis Reports |