|
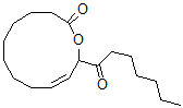
CAS#: 114416-54-5 Product: 12-Keto-9(2)-Octadecen-11-Olide No suppilers available for the product. |
| Name | 12-Keto-9(2)-Octadecen-11-Olide |
|---|---|
| Synonyms | (10Z)-12-(1-Oxoheptyl)-1-Oxacyclododec-10-En-2-One; (10Z)-12-Enanthyl-1-Oxacyclododec-10-En-2-One; 12-Keto-9(2)-Octadecen-11-Olide |
| Molecular Structure | ![]() |
| Molecular Formula | C18H30O3 |
| Molecular Weight | 294.43 |
| CAS Registry Number | 114416-54-5 |
| SMILES | C(C(C\1OC(CCCCCCC\C=C1)=O)=O)CCCCC |
| InChI | 1S/C18H30O3/c1-2-3-4-10-13-16(19)17-14-11-8-6-5-7-9-12-15-18(20)21-17/h11,14,17H,2-10,12-13,15H2,1H3/b14-11- |
| InChIKey | TXHNLEIEJZFRRG-KAMYIIQDSA-N |
| Market Analysis Reports |