Online Database of Chemicals from Around the World

Merremoside D
[CAS 115655-78-2]

Suppliers
CAS#: 115655-78-2
Product: Merremoside D
No suppilers available for the product.
Identification
Name Merremoside D
Synonyms Merremoside D; Merremoside-D
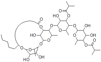
Molecular Structure CAS#: 115655-78-2, Merremoside D
Molecular Formula C48H82O20
Molecular Weight 979.16
CAS Registry Number 115655-78-2
SMILES C(C4OC5OC(C(OC3C(C(C(OC1C(C(OC(=O)C(C)C)C(C(O1)C)OC2C(C(O)C(C(O2)C)OC(=O)C(C)C)O)O)C(C)O3)OC(=O)CCCCCCCCC4)O)C(C5O)O)C)CCCC
InChI 1S/C48H82O20/c1-10-11-17-20-29-21-18-15-13-12-14-16-19-22-30(49)63-41-35(54)47(66-38-26(7)58-45(62-29)33(52)32(38)51)60-27(8)39(41)68-48-36(55)42(65-44(57)24(4)5)40(28(9)61-48)67-46-34(53)31(50)37(25(6)59-46)64-43(56)23(2)3/h23-29,31-42,45-48,50-55H,10-22H2,1-9H3
InChIKey VTFUTZVTYIBPGV-UHFFFAOYSA-N
Properties
Density 1.279g/cm3 (Cal.)
Boiling point 1004.699°C at 760 mmHg (Cal.)
Flash point 279.415°C (Cal.)
Market Analysis Reports
Related Products
Mergocriptine;2...  Meridinol;(-)-M...  Merimepodib;VI ...  Merimine;2,3-Di...  Merocyanine I;S...  Meropenem;(4R,5...  Meropenem EP im...  Meropenem Sodiu...  Meropenem trihy...  Merremoside B;H...  Merrifield Resi...  MERRIFIELD RESI...  Mersacidin  Mersalyl;Hemato...  Mersalyl  Mersalyl;(3-((2...  Mersalyl Acid;O...  Mersyndol;Morph...  Mertansine;DM 1...  Merthiolate-iod...