Identification
| Name |
Sodium 2,3-Dihydroxypropyl Phosphate 3-Hydroxy-1,2-Propanediyl Ditetradecanoate (2:1:2) |
| Synonyms |
1,2-Dimyristoyl-sn-glycero-3-phospho-sn-glycerol sodium salt; Natrium-2,3-dihydroxypropylphosphat --3-hydroxy-1,2-propandiyl-ditetradecanoat (2:1:2); Phosphate de 2,3-dihydroxypropyle et de sodium - ditétradécanoate de 3-hydroxy-1,2-propanediyle (1:2:2) |
|
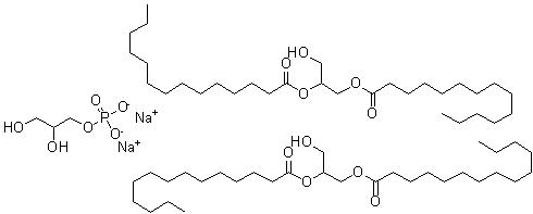
| Molecular Structure |
 |
| Molecular Formula |
C65H127Na2O16P |
| Molecular Weight |
1241.65 |
| CAS Registry Number |
116870-30-5 |
| SMILES |
CCCCCCCCCCCCCC(=O)OCC(CO)OC(=O)CCCCCCCCCCCCC.CCCCCCCCCCCCCC(=O)OCC(CO)OC(=O)CCCCCCCCCCCCC.C(C(COP(=O)([O-])[O-])O)O.[Na+].[Na+] |
| InChI |
1S/2C31H60O5.C3H9O6P.2Na/c2*1-3-5-7-9-11-13-15-17-19-21-23-25-30(33)35-28-29(27-32)36-31(34)26-24-22-20-18-16-14-12-10-8-6-4-2;4-1-3(5)2-9-10(6,7)8;;/h2*29,32H,3-28H2,1-2H3;3-5H,1-2H2,(H2,6,7,8);;/q;;;2*+1/p-2 |
| InChIKey |
HQSVELSNCBOFCA-UHFFFAOYSA-L |
|