Online Database of Chemicals from Around the World

Aranorosine
[CAS 117184-53-9]

List of Suppliers
Glentham Life Sciences UK
www.glenthamls.com
+44 (2033) 978-798
+44 (2033) 978-909
info@glenthamls.com
Chemical distributor since 2013
chemBlink Standard supplier since 2013
IRIS Biotech GmbH Germany
www.iris-biotech.de
+49 (9231) 961-973
+49 (9231) 961-999
info@iris-biotech.de
Chemical manufacturer since 1788

Identification
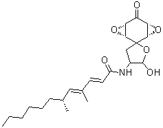
NameAranorosine
SynonymsAranorosin
Molecular StructureAranorosine molecular structure (CAS 117184-53-9)
Molecular FormulaC23H33NO6
Molecular Weight419.51
CAS Registry Number117184-53-9
Properties
SolubilityPractically insoluble (0.015 g/L) (25 °C), Calc.*
Density1.23±0.1 g/cm3 (20 °C 760 Torr), Calc.*
*Calculated using Advanced Chemistry Development (ACD/Labs) Software V11.02 (©1994-2013 ACD/Labs)
Market Analysis Reports
Related Products
Arachidyl Laura...  Arachidyl Stear...  Aragonite  Arainosine  Aramchol  Aranciamycin  Aranciamycinone  Araneosol  Aranesp  Aranidipine  Aranorosinol B  Aranotine  Araprofen  Arbekacin  Arbekacin sulfa...  Arbidol  Arbidol hydroch...  Arborenone  Arborine  Arborinine