Online Database of Chemicals from Around the World

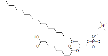
[2-(9-Hydroxy-9-oxo-nonanoyl)oxy-3-octadecoxy-propyl] 2-trimethylazaniumylethyl phosphate
[CAS 117320-06-6]

Suppliers
Achemica Switzerland
+41 (24) 466-2929
contact@achemica.com
Chemical manufacturer since 2010
Identification
Name [2-(9-Hydroxy-9-oxo-nonanoyl)oxy-3-octadecoxy-propyl] 2-trimethylazaniumylethyl phosphate
Synonyms [2-(9-Hydroxy-9-Oxo-Nonanoyl)Oxy-3-Octadecoxy-Propyl] 2-Trimethylammonioethyl Phosphate; [2-(9-Hydroxy-1,9-Dioxononoxy)-3-Octadecoxypropyl] 2-Trimethylammonioethyl Phosphate; [2-(9-Hydroxy-9-Keto-Nonanoyl)Oxy-3-Stearyloxy-Propyl] 2-Trimethylammonioethyl Phosphate
Molecular Structure CAS#: 117320-06-6, [2-(9-Hydroxy-9-oxo-nonanoyl)oxy-3-octadecoxy-propyl] 2-trimethylazaniumylethyl phosphate
Molecular Formula C35H70NO9P
Molecular Weight 679.91
CAS Registry Number 117320-06-6
SMILES C(O[P](OCC[N+](C)(C)C)([O-])=O)C(OC(=O)CCCCCCCC(=O)O)COCCCCCCCCCCCCCCCCCC
InChI 1S/C35H70NO9P/c1-5-6-7-8-9-10-11-12-13-14-15-16-17-18-22-25-29-42-31-33(32-44-46(40,41)43-30-28-36(2,3)4)45-35(39)27-24-21-19-20-23-26-34(37)38/h33H,5-32H2,1-4H3,(H-,37,38,40,41)
InChIKey SPJGRQXWAJFBBQ-UHFFFAOYSA-N
Market Analysis Reports
Related Products
(4alpha)-13-Hyd...  (4alpha,11beta)...  (13S,14S,17S)-1...  20-Hydroxy-3-ox...  (3beta)-3-Hydro...  3-[[8-[[(3B)-3-...  N-((3beta)-3-Hy...  2-[(2R)-2-Hydro...  2-Hydroxy-6-Oxo...  (2Z,4Z)-2-Hydro...  6-Hydroxy-6-oxo...  3beta-Hydroxy-2...  (17alpha)-17-Hy...  (6E,8Z)-18-Hydr...  (cis-9)-2-Hydro...  (E)-13-Hydroxy-...  [R-(Z)]-3-[(12-...  (E)-12-[(E)-18-...  [2-[2-Hydroxy-3...  [2-Hydroxy-3-[(...