|
CAS#: 117610-63-6 Product: 1,2-Diundecanoylphosphatidylethanolamine No suppilers available for the product. |
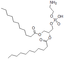
| Name | 1,2-Diundecanoylphosphatidylethanolamine |
|---|---|
| Synonyms | [(1R)-1-[(2-Aminoethoxy-Hydroxy-Phosphoryl)Oxymethyl]-2-Undecanoyloxy-Ethyl] Undecanoate; Undecanoic Acid [(1R)-1-[(2-Aminoethoxy-Hydroxyphosphoryl)Oxymethyl]-2-(1-Oxoundecoxy)Ethyl] Ester; Undecanoic Acid [(1R)-1-[(2-Aminoethoxy-Hydroxy-Phosphoryl)Oxymethyl]-2-Undecanoyloxy-Ethyl] Ester |
| Molecular Structure | ![]() |
| Molecular Formula | C27H54NO8P |
| Molecular Weight | 551.70 |
| CAS Registry Number | 117610-63-6 |
| SMILES | [C@@H](COC(CCCCCCCCCC)=O)(CO[P](=O)(O)OCCN)OC(CCCCCCCCCC)=O |
| InChI | 1S/C27H54NO8P/c1-3-5-7-9-11-13-15-17-19-26(29)33-23-25(24-35-37(31,32)34-22-21-28)36-27(30)20-18-16-14-12-10-8-6-4-2/h25H,3-24,28H2,1-2H3,(H,31,32)/t25-/m1/s1 |
| InChIKey | ZWPYUJDPKPNXJG-RUZDIDTESA-N |
| Density | 1.062g/cm3 (Cal.) |
|---|---|
| Boiling point | 625.878°C at 760 mmHg (Cal.) |
| Flash point | 332.319°C (Cal.) |
| Market Analysis Reports |