Online Database of Chemicals from Around the World

KZ 55
[CAS 117753-51-2]

List of Suppliers
Nanjing Capatue Chemical Co., Ltd. China
www.capatue.com
+86 (25) 8637-1192
+86 13851602286
+86 (25) 8637-1191 ex 0
info@capatue.com
stephenchow@capatue.com
QQ Chat
Chemical manufacturer
chemBlink Standard supplier since 2008

Identification
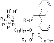
NameKZ 55
SynonymsTetrakis[2,2-bis[(2-propenyloxy)methyl]-1-butanolato]bis(ditridecyl phosphito)dihydrogenzirconate
Molecular StructureKZ 55 molecular structure (CAS 117753-51-2)
Molecular FormulaC100H192O18P2Zr.2H
Molecular Weight1837.77
CAS Registry Number117753-51-2
Market Analysis Reports
Related Products
Kyanite  Kynuramine  Kynuramine Dihy...  Kynurenic-3,5,6...  D-Kynurenine  L-Kynurenine  DL-Kynurenine  L-Kynurenine Pi...  L-Kynurenine Su...  Kyotorphin  KZ-TPP  L006235  L-2286  L-377202  L-659989  L 671329  L-744832  L-744832  L 768232  L-778123