|
CAS#: 119320-04-6 Product: Palmitoyl(3)-Cysteinyl-Seryl-(Hiv-1(598-609)Cyclic Disulfide) No suppilers available for the product. |
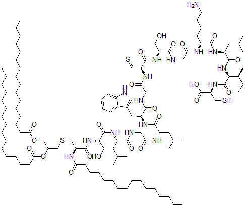
| Name | Palmitoyl(3)-Cysteinyl-Seryl-(Hiv-1(598-609)Cyclic Disulfide) |
|---|---|
| Synonyms | Pam(3)Cys-Ser-(Hiv-1(598-609)Cyclic Disulfide); Hiv-1 Pcs Cyclic Disulfide; L-Cysteine, S-(2,3-Bis((1-Oxohexadecyl)Oxy)Propyl)-N-(1-Oxohexadecyl)-L-Cysteinyl-L-Seryl-L-Leucylglycyl-L-Leucyl-L-Tryptophylglycyl-L-Cysteinyl-L-Serylglycyl-L-Lysyl-L-Leucyl-L-Isoleucyl-, Cyclic (8-14)-Disulfide |
| Molecular Structure | ![]() |
| Molecular Formula | C113H196N16O22S3 |
| Molecular Weight | 2227.07 |
| CAS Registry Number | 119320-04-6 |
| SMILES | [C@H](C(=O)O)(NC([C@@H](NC([C@@H](NC([C@@H](NC(CNC([C@@H](NC([C@@H](NC(CNC([C@@H](NC([C@@H](NC(CNC([C@@H](NC([C@@H](NC([C@@H](NC(CCCCCCCCCCCCCCC)=O)CSCC(COC(CCCCCCCCCCCCCCC)=O)OC(CCCCCCCCCCCCCCC)=O)=O)CO)=O)CC(C)C)=O)=O)CC(C)C)=O)CC1=C[NH]C2=CC=CC=C12)=O)=O)C=S)=O)CO)=O)=O)CCCCN)=O)CC(C)C)=O)[C@H](CC)C)=O)CS |
| InChI | 1S/C113H196N16O22S3/c1-12-16-19-22-25-28-31-34-37-40-43-46-49-59-96(132)122-95(77-154-76-83(151-101(137)61-51-48-45-42-39-36-33-30-27-24-21-18-14-3)73-150-100(136)60-50-47-44-41-38-35-32-29-26-23-20-17-13-2)111(146)127-92(72-131)109(144)123-87(63-78(5)6)103(138)116-69-98(134)120-88(64-79(7)8)107(142)125-90(66-82-67-115-85-57-53-52-56-84(82)85)104(139)117-70-99(135)121-93(74-152)110(145)126-91(71-130)105(140)118-68-97(133)119-86(58-54-55-62-114)106(141)124-89(65-80(9)10)108(143)129-102(81(11)15-4)112(147)128-94(75-153)113(148)149/h52-53,56-57,67,74,78-81,83,86-95,102,115,130-131,153H,12-51,54-55,58-66,68-73,75-77,114H2,1-11H3,(H,116,138)(H,117,139)(H,118,140)(H,119,133)(H,120,134)(H,121,135)(H,122,132)(H,123,144)(H,124,141)(H,125,142)(H,126,145)(H,127,146)(H,128,147)(H,129,143)(H,148,149)/t81-,83?,86-,87-,88-,89-,90-,91-,92-,93-,94-,95-,102-/m0/s1 |
| InChIKey | SDTRBFOBHMIYOG-DBNCJOJGSA-N |
| Market Analysis Reports |