Online Database of Chemicals from Around the World

N-(3-Iodo-4-Azidophenylpropionamido)Cysteinyl-5-(2'-Thiopyridyl)Cysteine-Coenzyme A
[CAS 121368-75-0]

Suppliers
CAS#: 121368-75-0
Product: N-(3-Iodo-4-Azidophenylpropionamido)Cysteinyl-5-(2'-Thiopyridyl)Cysteine-Coenzyme A
No suppilers available for the product.
Identification
Name N-(3-Iodo-4-Azidophenylpropionamido)Cysteinyl-5-(2'-Thiopyridyl)Cysteine-Coenzyme A
Synonyms (2R)-3-[2-[3-[[(2R)-2-[[[(2R,3S,4R,5R)-5-(6-Aminopurin-9-Yl)-4-Hydroxy-3-Phosphonooxy-Tetrahydrofuran-2-Yl]Methoxy-Hydroxy-Phosphoryl]Peroxy-Hydroxy-Phosphoryl]-2-Hydroxy-Acetyl]Amino]Propanoylamino]Ethyldisulfanyl]-2-[3-(4-Azido-3-Iodo-Phenyl)Propanoylamino]Heptanoic Acid; (2R)-3-[2-[[3-[[(2R)-2-[[[(2R,3S,4R,5R)-5-(6-Amino-9-Purinyl)-4-Hydroxy-3-Phosphonooxy-2-Tetrahydrofuranyl]Methoxy-Hydroxyphosphoryl]Dioxy-Hydroxyphosphoryl]-2-Hydroxy-1-Oxoethyl]Amino]-1-Oxopropyl]Amino]Ethyldisulfanyl]-2-[[3-(4-Azido-3-Iodophenyl)-1-Oxopropyl]Amino]Heptanoic Acid; (2R)-3-[2-[3-[[(2R)-2-[[[(2R,3S,4R,5R)-5-(6-Aminopurin-9-Yl)-4-Hydroxy-3-Phosphonooxy-Tetrahydrofuran-2-Yl]Methoxy-Hydroxy-Phosphoryl]Peroxy-Hydroxy-Phosphoryl]-2-Hydroxy-Acetyl]Amino]Propanoylamino]Ethyldisulfanyl]-2-[3-(4-Azido-3-Iodo-Phenyl)Propanoylamino]Enanthic Acid
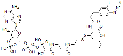
Molecular Structure CAS#: 121368-75-0, N-(3-Iodo-4-Azidophenylpropionamido)Cysteinyl-5-(2'-Thiopyridyl)Cysteine-Coenzyme A
Molecular Formula C33H47IN11O19P3S2
Molecular Weight 1185.74
CAS Registry Number 121368-75-0
SMILES [N+](=NC1=CC=C(C=C1I)CCC(=O)N[C@@H](C(SSCCNC(=O)CCNC(=O)[C@@H]([P](OO[P](OC[C@H]4O[C@@H]([N]2C3=C(N=C2)C(=NC=N3)N)[C@H](O)[C@@H]4O[P](=O)(O)O)(=O)O)(=O)O)O)CCCC)C(=O)O)=[N-]
InChI 1S/C33H47IN11O19P3S2/c1-2-3-4-21(24(32(50)51)42-23(47)8-6-17-5-7-19(43-44-36)18(34)13-17)69-68-12-11-37-22(46)9-10-38-30(49)33(52)65(53,54)63-64-67(58,59)60-14-20-27(62-66(55,56)57)26(48)31(61-20)45-16-41-25-28(35)39-15-40-29(25)45/h5,7,13,15-16,20-21,24,26-27,31,33,48,52H,2-4,6,8-12,14H2,1H3,(H,37,46)(H,38,49)(H,42,47)(H,50,51)(H,53,54)(H,58,59)(H2,35,39,40)(H2,55,56,57)/t20-,21?,24+,26-,27-,31-,33-/m1/s1
InChIKey INNXFTJYJFYUQJ-FLQPUNRMSA-N
Market Analysis Reports
Related Products
3-Iodo-7-azaind...  3-Iodo-7-azaind...  1-Boc-3-iodoaze...  3-Iodo-1-azetid...  4'-(3-Iodo-4-Az...  N(6)-(3-Iodo-4-...  3-Iodo-4-Azido-...  12-((5-Iodo-4-A...  3-Iodo-4-azidop...  1-(2-(3-Iodo-4-...  N-(4-Iodoazidos...  3'-Iodo-4'-Azid...  4-Iodo-Azobenze...  Iodoazomycin Ri...  2-Iodoazulene  4-Iodobenzaldeh...  2-Iodobenzaldeh...  3-Iodobenzaldeh...  4-Iodobenzaldeh...  3-Iodobenzamide...