Online Database of Chemicals from Around the World

6-Azido-1,6-dideoxy-3,4-O-isopropylidene-D-tagatofuranose
[CAS 122194-05-2]

Suppliers
Carbosynth China Ltd. China
+86 (512) 6260-5585
sales@carbosynth.com
QQ Chat
Chemical manufacturer since 2006
Chemical distributor since 2006
chemBlink massive supplier since 2016
Glentham Life Sciences UK
+44 (2033) 978-798
info@glenthamls.com
Chemical distributor since 2013
Identification
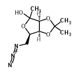
Name 6-Azido-1,6-dideoxy-3,4-O-isopropylidene-D-tagatofuranose
Synonyms 6-Azido-1,6-dideoxy-3,4-O-isopropylidene-D-lyxo-2-hexulofuranose
Molecular Structure CAS#: 122194-05-2, 6-Azido-1,6-dideoxy-3,4-O-isopropylidene-D-tagatofuranose
Molecular Formula C9H15N3O4
Molecular Weight 229.23
CAS Registry Number 122194-05-2
SMILES [N-]=[N+]=N\C[C@H]1OC(O)([C@H]2OC(O[C@@H]12)(C)C)C
InChI 1S/C9H15N3O4/c1-8(2)15-6-5(4-11-12-10)14-9(3,13)7(6)16-8/h5-7,13H,4H2,1-3H3/t5-,6+,7+,9?/m1/s1
InChIKey ITMTWRNHTCDZNL-VWQWZFRASA-N
Properties
Refractive index (Cal.)
Market Analysis Reports
Related Products
2-Azido-4,6-Dic...  3'-Azido-2',3'-...  5'-Azido-2',5'-...  3-Azido-1,4-did...  3-Azido-2,3-Did...  3-Azido-2,3-did...  3'-Azido-2',3'-...  3'-Azido-2',3'-...  5'-Azido-2',5'-...  3'-Azido-2',3'-...  3'-Azido-2',3'-...  1-(3-Azido-2,3-...  3'-Azido-3',5'-...  1-[3-Azido-2,3-...  3'-Azido-2',3'-...  1-[3-azido-2,3-...  N-(4-Azido-2,6-...  4-Azido-N-[2-[[...  (6S)-6-Azido-6,...  (2R,3R,4S,5R,6S...