Online Database of Chemicals from Around the World

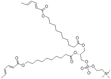
[(2R)-2,3-Bis[10-[(2E,4E)-Hexa-2,4-Dienoyl]Oxydecanoyloxy]Propyl] 2-Trimethylazaniumylethyl Phosphate
[CAS 124154-20-7]

Suppliers
CAS#: 124154-20-7
Product: [(2R)-2,3-Bis[10-[(2E,4E)-Hexa-2,4-Dienoyl]Oxydecanoyloxy]Propyl] 2-Trimethylazaniumylethyl Phosphate
No suppilers available for the product.
Identification
Name [(2R)-2,3-Bis[10-[(2E,4E)-Hexa-2,4-Dienoyl]Oxydecanoyloxy]Propyl] 2-Trimethylazaniumylethyl Phosphate
Synonyms [(2R)-2,3-Bis[10-[(2E,4E)-Hexa-2,4-Dienoyl]Oxydecanoyloxy]Propyl] 2-Trimethylammonioethyl Phosphate; [(2R)-2,3-Bis[1-Oxo-10-[(2E,4E)-1-Oxohexa-2,4-Dienoxy]Decoxy]Propyl] 2-Trimethylammonioethyl Phosphate; 1,2-Bis(10(2',4'-Hexadienoyloxy)Decanoyl)-Sn-Glycero-3-Phosphocholine
Molecular Structure CAS#: 124154-20-7, [(2R)-2,3-Bis[10-[(2E,4E)-Hexa-2,4-Dienoyl]Oxydecanoyloxy]Propyl] 2-Trimethylazaniumylethyl Phosphate
Molecular Formula C40H68NO12P
Molecular Weight 785.95
CAS Registry Number 124154-20-7
SMILES [C@H](OC(=O)CCCCCCCCCOC(=O)\C=C\C=C\C)(CO[P](OCC[N+](C)(C)C)([O-])=O)COC(=O)CCCCCCCCCOC(=O)\C=C\C=C\C
InChI 1S/C40H68NO12P/c1-6-8-20-26-37(42)48-31-24-18-14-10-12-16-22-28-39(44)50-34-36(35-52-54(46,47)51-33-30-41(3,4)5)53-40(45)29-23-17-13-11-15-19-25-32-49-38(43)27-21-9-7-2/h6-9,20-21,26-27,36H,10-19,22-25,28-35H2,1-5H3/b8-6+,9-7+,26-20+,27-21+/t36-/m1/s1
InChIKey USWYUNFYMUKUNS-SRUCOHQKSA-N
Market Analysis Reports
Related Products
(2R)-2,3-Bis[(2...  1,3-Bis(Hexadec...  Bis(2-Hexadecen...  4-[2-[4-(Bishex...  1,2-Bis(Hexadec...  (2R,3R,4S,5S,6R...  1,3-Bis(Hexadec...  (2S)-2,3-Bis(He...  2,3-Bis(Hexadec...  2,3-Bis(hexadec...  2,3-Bis[10-[(2E...  Bis(hexafluoroa...  Bis(hexafluoroa...  Bis[(3Z)-1,1,1,...  3,5-Bis(1,1,1,3...  Bis(hexafluoroi...  (T-4)-Bis(1,1,1...  (T-4)-Bis(1,1,1...  (T-4)-Bis(1,1,1...  (T-4)-Bis(1,1,1...