Online Database of Chemicals from Around the World

4-[6-[13-[2-(2,4-Dicarboxyphenyl)-5-Methoxy-1-Benzofuran-6-Yl]-1,4,10-Trioxa-7,13-Diazacyclopentadec-7-Yl]-5-Methoxy-1-Benzofuran-2-Yl]Benzene-1,3-Dicarboxylic Acid
[CAS 124549-08-2]

Suppliers
CAS#: 124549-08-2
Product: 4-[6-[13-[2-(2,4-Dicarboxyphenyl)-5-Methoxy-1-Benzofuran-6-Yl]-1,4,10-Trioxa-7,13-Diazacyclopentadec-7-Yl]-5-Methoxy-1-Benzofuran-2-Yl]Benzene-1,3-Dicarboxylic Acid
No suppilers available for the product.
Identification
Name 4-[6-[13-[2-(2,4-Dicarboxyphenyl)-5-Methoxy-1-Benzofuran-6-Yl]-1,4,10-Trioxa-7,13-Diazacyclopentadec-7-Yl]-5-Methoxy-1-Benzofuran-2-Yl]Benzene-1,3-Dicarboxylic Acid
Synonyms 4-[6-[13-[2-(2,4-Dicarboxyphenyl)-5-Methoxy-Benzofuran-6-Yl]-1,4,10-Trioxa-7,13-Diazacyclopentadec-7-Yl]-5-Methoxy-Benzofuran-2-Yl]Benzene-1,3-Dicarboxylic Acid; 4-[6-[13-[2-(2,4-Dicarboxyphenyl)-5-Methoxy-6-Benzofuranyl]-1,4,10-Trioxa-7,13-Diazacyclopentadec-7-Yl]-5-Methoxy-2-Benzofuranyl]Benzene-1,3-Dicarboxylic Acid; 4-[6-[13-[2-(2,4-Dicarboxyphenyl)-5-Methoxy-Benzofuran-6-Yl]-1,4,10-Trioxa-7,13-Diazacyclopentadec-7-Yl]-5-Methoxy-Benzofuran-2-Yl]Isophthalic Acid
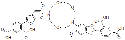
Molecular Structure CAS#: 124549-08-2, 4-[6-[13-[2-(2,4-Dicarboxyphenyl)-5-Methoxy-1-Benzofuran-6-Yl]-1,4,10-Trioxa-7,13-Diazacyclopentadec-7-Yl]-5-Methoxy-1-Benzofuran-2-Yl]Benzene-1,3-Dicarboxylic Acid
Molecular Formula C44H42N2O15
Molecular Weight 838.82
CAS Registry Number 124549-08-2
SMILES C2=C(C1=C(C=C(C(O)=O)C=C1)C(O)=O)OC3=C2C=C(OC)C(=C3)N7CCOCCN(C4=CC5=C(C=C4OC)C=C(O5)C6=C(C=C(C(O)=O)C=C6)C(O)=O)CCOCCOCC7
InChI 1S/C44H42N2O15/c1-55-39-21-27-19-37(29-5-3-25(41(47)48)17-31(29)43(51)52)60-35(27)23-33(39)45-7-11-57-12-8-46(10-14-59-16-15-58-13-9-45)34-24-36-28(22-40(34)56-2)20-38(61-36)30-6-4-26(42(49)50)18-32(30)44(53)54/h3-6,17-24H,7-16H2,1-2H3,(H,47,48)(H,49,50)(H,51,52)(H,53,54)
InChIKey UGJCNRLBGKEGEH-UHFFFAOYSA-N
Properties
Density 1.37g/cm3 (Cal.)
Boiling point 1034.069°C at 760 mmHg (Cal.)
Flash point 579.184°C (Cal.)
Market Analysis Reports
Related Products
Di-Carboxylic A...  N,N'-Dicarboxym...  N,N-Dicarboxyme...  Dicarboxymethyl...  2,3-Di-O-carbox...  3,3-Dicarboxy-1...  3,5-Dicarboxy-1...  3-[4-[1-[4-(3,4...  4-[4-[2-[4-(3,4...  9-(2,4-Dicarbox...  3-[6-[13-[2-(2,...  9-[2,4(2,5)-Dic...  (2R)-1,2-Dicarb...  (2R)-1,2-Dicarb...  Dicarfene;N,N-D...  Nomega,Nomega'-...  Dicentrin;1,2-(...  L-Dicentrine  Dicentrinone;8H...  Dicerium Dioxid...