Online Database of Chemicals from Around the World

Cryptophycin 1
[CAS 124689-65-2]

Suppliers
CAS#: 124689-65-2
Product: Cryptophycin 1
No suppilers available for the product.
Identification
Name Cryptophycin 1
Synonyms (3S,6R,10R,13E,16S)-10-[(3-Chloro-4-Methoxy-Phenyl)Methyl]-3-Isobutyl-6-Methyl-16-[(1S)-1-[(2R,3R)-3-Phenyloxiran-2-Yl]Ethyl]-1,4-Dioxa-8,11-Diazacyclohexadec-13-Ene-2,5,9,12-Tetrone; (3S,6R,10R,13E,16S)-10-[(3-Chloro-4-Methoxyphenyl)Methyl]-3-Isobutyl-6-Methyl-16-[(1S)-1-[(2R,3R)-3-Phenyl-2-Oxiranyl]Ethyl]-1,4-Dioxa-8,11-Diazacyclohexadec-13-Ene-2,5,9,12-Tetrone; (3S,6R,10R,13E,16S)-10-(3-Chloro-4-Methoxy-Benzyl)-3-Isobutyl-6-Methyl-16-[(1S)-1-[(2R,3R)-3-Phenyloxiran-2-Yl]Ethyl]-1,4-Dioxa-8,11-Diazacyclohexadec-13-Ene-2,5,9,12-Diquinone
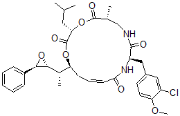
Molecular Structure CAS#: 124689-65-2, Cryptophycin 1
Molecular Formula C35H43ClN2O8
Molecular Weight 655.19
CAS Registry Number 124689-65-2
SMILES [C@@H]1(O[C@@H]1C2=CC=CC=C2)[C@H]([C@H]3OC(=O)[C@@H](OC(=O)[C@@H](CNC(=O)[C@H](NC(=O)/C=C/C3)CC4=CC=C(OC)C(=C4)Cl)C)CC(C)C)C
InChI 1S/C35H43ClN2O8/c1-20(2)16-29-35(42)44-27(22(4)31-32(46-31)24-10-7-6-8-11-24)12-9-13-30(39)38-26(33(40)37-19-21(3)34(41)45-29)18-23-14-15-28(43-5)25(36)17-23/h6-11,13-15,17,20-22,26-27,29,31-32H,12,16,18-19H2,1-5H3,(H,37,40)(H,38,39)/b13-9+/t21-,22+,26-,27+,29+,31-,32-/m1/s1
InChIKey PSNOPSMXOBPNNV-VVCTWANISA-N
Properties
Density 1.2±0.1g/cm3 (Cal.)
Boiling point 889.4±65.0°C at 760 mmHg (Cal.)
Flash point 491.7±34.3°C (Cal.)
References
(1) Weiß Christine, Bogner Tobias, Sammet Benedikt, Sewald Norbert. Total synthesis and biological evaluation of fluorinated cryptophycins, Beilstein Journal of Organic Chemistry, 2012
Market Analysis Reports
Related Products
Crypthophane E  Cryptocarya Mas...  Cryptochlorogen...  Cryptogenin;3-H...  Cryptohalite;Cr...  Cryptolepine;5-...  Cryptomeridiol  Cryptomeridiol ...  (6R,10S,12R)-Cr...  Cryptomoscatone...  Cryptophycin-46...  Cryptopine;4,6,...  Cryptopleurine;...  Cryptoporic aci...  Cryptostrobin (...  (+/-)-Cryptosty...  Cryptotanshinon...  (3S)-beta-Crypt...  Crystallins  Crystal violet ...