Online Database of Chemicals from Around the World

Bipinnatifidusoside F1
[CAS 125409-60-1]

Suppliers
CAS#: 125409-60-1
Product: Bipinnatifidusoside F1
No suppilers available for the product.
Identification
Name Bipinnatifidusoside F1
Synonyms (2S,3R,4S,5S,6R)-2-[(1S)-1-[(10R,12S,13S,14R,17S)-3-[(2R,3R,4S,5S,6R)-4,5-Dihydroxy-6-(Hydroxymethyl)-3-[(2S,3R,4S,5S,6R)-3,4,5-Trihydroxy-6-(Hydroxymethyl)Tetrahydropyran-2-Yl]Oxy-Tetrahydropyran-2-Yl]Oxy-12-Hydroxy-4,4,10,14-Tetramethyl-1,2,3,5,6,7,8,9,11,12,13,15,16,17-Tetradecahydrocyclopenta[A]Phenanthren-17-Yl]-4-Hydroxy-1,5-Dimethyl-Hex-5-Enoxy]-6-(Hydroxymethyl)Tetrahydropyran-3,4,5-Triol; (2S,3R,4S,5S,6R)-2-[(1S)-1-[(10R,12S,13S,14R,17S)-3-[[(2R,3R,4S,5S,6R)-4,5-Dihydroxy-6-(Hydroxymethyl)-3-[[(2S,3R,4S,5S,6R)-3,4,5-Trihydroxy-6-(Hydroxymethyl)-2-Tetrahydropyranyl]Oxy]-2-Tetrahydropyranyl]Oxy]-12-Hydroxy-4,4,10,14-Tetramethyl-1,2,3,5,6,7,8,9,11,12,13,15,16,17-Tetradecahydrocyclopenta[A]Phenanthren-17-Yl]-4-Hydroxy-1,5-Dimethylhex-5-Enoxy]-6-(Hydroxymethyl)Tetrahydropyran-3,4,5-Triol; (2S,3R,4S,5S,6R)-2-[(1S)-1-[(10R,12S,13S,14R,17S)-3-[(2R,3R,4S,5S,6R)-4,5-Dihydroxy-6-Methylol-3-[(2S,3R,4S,5S,6R)-3,4,5-Trihydroxy-6-Methylol-Tetrahydropyran-2-Yl]Oxy-Tetrahydropyran-2-Yl]Oxy-12-Hydroxy-4,4,10,14-Tetramethyl-1,2,3,5,6,7,8,9,11,12,13,15,16,17-Tetradecahydrocyclopenta[A]Phenanthren-17-Yl]-4-Hydroxy-1,5-Dimethyl-Hex-5-Enoxy]-6-Methylol-Tetrahydropyran-3,4,5-Triol
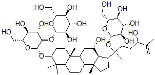
Molecular Structure CAS#: 125409-60-1, Bipinnatifidusoside F1
Molecular Formula C47H80O19
Molecular Weight 949.14
CAS Registry Number 125409-60-1
SMILES [C@H]56[C@@](C4C([C@@]3(C(C(C(O[C@@H]1O[C@@H]([C@@H](O)[C@H](O)[C@H]1O[C@@H]2O[C@@H]([C@@H](O)[C@H](O)[C@H]2O)CO)CO)CC3)(C)C)CC4)C)C[C@@H]5O)(CC[C@@H]6[C@@](O[C@@H]7O[C@@H]([C@@H](O)[C@H](O)[C@H]7O)CO)(CCC(O)C(=C)C)C)C
InChI 1S/C47H80O19/c1-20(2)24(51)11-15-47(7,66-42-39(60)36(57)33(54)27(18-49)62-42)22-10-13-46(6)21-8-9-29-44(3,4)30(12-14-45(29,5)23(21)16-25(52)31(22)46)64-43-40(37(58)34(55)28(19-50)63-43)65-41-38(59)35(56)32(53)26(17-48)61-41/h21-43,48-60H,1,8-19H2,2-7H3/t21?,22-,23?,24?,25-,26+,27+,28+,29?,30?,31+,32+,33+,34+,35-,36-,37-,38+,39+,40+,41-,42-,43-,45+,46+,47-/m0/s1
InChIKey UYZKHXYACWTLFG-VPURUKEUSA-N
Properties
Density 1.417g/cm3 (Cal.)
Boiling point 1056.146°C at 760 mmHg (Cal.)
Flash point 592.535°C (Cal.)
Market Analysis Reports
Related Products
9-[1,1'-Bipheny...  Biphenyl-4-Ylur...  5-(4-Biphenylyl...  2-[4-(2-[1,1'-B...  2-[4-[2-([1,1'-...  2-[4-(2-[1,1'-B...  4-Biphenylzinc ...  4,4'-Biphthalim...  Bipindoside;4-[...  Bipinnatifiduso...  Bipinnatin A;Bi...  Bipinnatin B;Bi...  1,1'-Bipiperazi...  2,2-Bipiperazin...  4,4'-Bipiperidi...  2,2'-Bipiperidi...  1,4’-Bipiperidi...  [1,4'-Bipiperid...  1,4'-Bipiperidi...  [1,4'-Bipiperid...