Online Database of Chemicals from Around the World

Rebaudioside G
[CAS 127345-21-5]

List of Suppliers
Chengdu Biopurify Phytochemicals Ltd. China
www.phytopurify.com
+86 (28) 8263-3860
8263-3987
+86 (28) 8263-3165
sales@biopurify.com
biopurify@gmail.com
QQ Chat
Skype Chat
Chemical manufacturer
chemBlink Standard supplier since 2017
Neostar United (Changzhou) Industrial Co., Ltd. China
www.neostarunited.com
+86 (519) 8555-7386
+86 18015025600
+86 (519) 8555-7389
marketing1@neostarunited.com
Chemical distributor since 2014
chemBlink Standard supplier since 2020

Identification
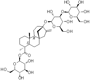
NameRebaudioside G
Synonyms(4alpha)-13-[(3-O-beta-D-Glucopyranosyl-beta-D-glucopyranosyl)oxy]-kaur-16-en-18-oic acid beta-D-glucopyranosyl ester
Molecular StructureRebaudioside G molecular structure (CAS 127345-21-5)
Molecular FormulaC38H60O18
Molecular Weight804.87
CAS Registry Number127345-21-5
Properties
SolubilityPractically insoluble (0.017 g/L) (25 °C), Calc.*
Density1.53±0.1 g/cm3 (20 °C 760 Torr), Calc.*
*Calculated using Advanced Chemistry Development (ACD/Labs) Software V11.02 (©1994-2015 ACD/Labs)
Market Analysis Reports
Related Products
C.I. Reactive Y...  Tebbe reagent  ReAsH-EDT2  Rebamipide  Rebaudioside A  Rebaudioside B  Rebaudioside C  Rebaudioside D  Rebaudioside E  Rebaudioside F  Rebaudioside I  Rebaudioside J  Rebaudioside M  Rebaudioside N  Rebaudioside O  Rebeccamycin  Rebemide  Rebeprazole sod...  Rebeprazole sul...  Reboxetine