|
CAS#: 127687-07-4 Product: Bastadin 9 No suppilers available for the product. |
| Name | Bastadin 9 |
|---|---|
| Synonyms | Bastadin 9 |
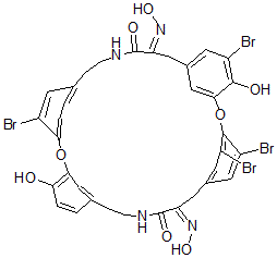
| Molecular Structure | ![]() |
| Molecular Formula | C34H28Br4N4O8 |
| Molecular Weight | 940.23 |
| CAS Registry Number | 127687-07-4 |
| SMILES | O=C3NCCC5=CC=C(OC1=C(O)C=CC(=C1)CCNC(=O)C(=N/O)\CC4=CC(=C(OC2=CC(=CC(=C2O)Br)C/C3=N/O)C(=C4)Br)Br)C(=C5)Br |
| InChI | 1S/C34H28Br4N4O8/c35-21-9-17-2-4-28(21)49-29-15-18(1-3-27(29)43)6-8-40-33(45)25(41-47)13-19-11-23(37)32(24(38)12-19)50-30-16-20(10-22(36)31(30)44)14-26(42-48)34(46)39-7-5-17/h1-4,9-12,15-16,43-44,47-48H,5-8,13-14H2,(H,39,46)(H,40,45)/b41-25-,42-26- |
| InChIKey | IHQGNSPVGIMQBJ-ZHEAWEGVSA-N |
| Density | 1.875g/cm3 (Cal.) |
|---|---|
| Market Analysis Reports |