Online Database of Chemicals from Around the World

Phlinoside A
[CAS 128988-14-7]

Suppliers
CAS#: 128988-14-7
Product: Phlinoside A
No suppilers available for the product.
Identification
Name Phlinoside A
Synonyms [4-[4,5-Dihydroxy-6-Methyl-3-[3,4,5-Trihydroxy-6-(Hydroxymethyl)Tetrahydropyran-2-Yl]Oxy-Tetrahydropyran-2-Yl]Oxy-6-[2-(3,4-Dihydroxyphenyl)Ethoxy]-5-Hydroxy-2-(Hydroxymethyl)Tetrahydropyran-3-Yl] (E)-3-(3,4-Dihydroxyphenyl)Prop-2-Enoate; (E)-3-(3,4-Dihydroxyphenyl)Prop-2-Enoic Acid [4-[[4,5-Dihydroxy-6-Methyl-3-[[3,4,5-Trihydroxy-6-(Hydroxymethyl)-2-Tetrahydropyranyl]Oxy]-2-Tetrahydropyranyl]Oxy]-6-[2-(3,4-Dihydroxyphenyl)Ethoxy]-5-Hydroxy-2-(Hydroxymethyl)-3-Tetrahydropyranyl] Ester; (E)-3-(3,4-Dihydroxyphenyl)Acrylic Acid [4-[4,5-Dihydroxy-6-Methyl-3-(3,4,5-Trihydroxy-6-Methylol-Tetrahydropyran-2-Yl)Oxy-Tetrahydropyran-2-Yl]Oxy-6-[2-(3,4-Dihydroxyphenyl)Ethoxy]-5-Hydroxy-2-Methylol-Tetrahydropyran-3-Yl] Ester
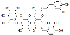
Molecular Structure CAS#: 128988-14-7, Phlinoside A
Molecular Formula C35H46O20
Molecular Weight 786.74
CAS Registry Number 128988-14-7
SMILES C5=C(CCOC4OC(C(OC(=O)\C=C\C1=CC(=C(O)C=C1)O)C(OC2OC(C(O)C(O)C2OC3OC(C(O)C(O)C3O)CO)C)C4O)CO)C=CC(=C5O)O
InChI 1S/C35H46O20/c1-14-24(43)27(46)32(55-34-28(47)26(45)25(44)21(12-36)51-34)35(50-14)54-31-29(48)33(49-9-8-16-3-6-18(39)20(41)11-16)52-22(13-37)30(31)53-23(42)7-4-15-2-5-17(38)19(40)10-15/h2-7,10-11,14,21-22,24-41,43-48H,8-9,12-13H2,1H3/b7-4+
InChIKey SDRRSTAVRUERNC-QPJJXVBHSA-N
Properties
Density 1.666g/cm3 (Cal.)
Boiling point 1065.7°C at 760 mmHg (Cal.)
Flash point 328.835°C (Cal.)
Market Analysis Reports
Related Products
c(phg-isoDGR-(N...  Philanthotoxin ...  Phillipsite;Alu...  Phillygenin;(+)...  PhI(ODNs)OH  Phlegmanol C  Phlegmariurine ...  Phleomycin;6-Am...  Phleomycin D1;[...  Phleomycin E;[2...  Phlogacantholid...  Phloretin;2',4'...  Phlorigidoside ...  Phlorin;Phlorog...  Phlorisovalerop...  Phlorizin;1-(2-...  Phlorizin dihyd...  Phlorizinyl 5'-...  Phloroacetophen...  Phlorofucofuroe...