Online Database of Chemicals from Around the World

Cyclopeptolide 1
[CAS 129816-38-2]

Suppliers
CAS#: 129816-38-2
Product: Cyclopeptolide 1
No suppilers available for the product.
Identification
Name Cyclopeptolide 1
Synonyms 2-[(3R,6S,9S,15S,18S,21S,24S,27S,30S)-9,24,27-Triisopropyl-6-[(4-Methoxyphenyl)Methyl]-3,10,16,19,22,28-Hexamethyl-2,5,8,11,14,17,20,23,26,29-Decaoxo-15,18-Disec-Butyl-4-Oxa-1,7,10,13,16,19,22,25,28-Nonazabicyclo[28.4.0]Tetratriacontan-21-Yl]Acetic Acid; 2-[(3R,6S,9S,15S,18S,21S,24S,27S,30S)-9,24,27-Triisopropyl-2,5,8,11,14,17,20,23,26,29-Decaketo-6-(4-Methoxybenzyl)-3,10,16,19,22,28-Hexamethyl-15,18-Disec-Butyl-4-Oxa-1,7,10,13,16,19,22,25,28-Nonazabicyclo[28.4.0]Tetratriacontan-21-Yl]Acetic Acid; 2-[(3R,6S,9S,15S,18S,21S,24S,27S,30S)-15,18-Bis[(2S)-Butan-2-Yl]-6-[(4-Methoxyphenyl)Methyl]-3,10,16,19,22,28-Hexamethyl-2,5,8,11,14,17,20,23,26,29-Decaoxo-9,24,27-Tri(Propan-2-Yl)-4-Oxa-1,7,10,13,16,19,22,25,28-Nonazabicyclo[28.4.0]Tetratriacontan-21-Yl]Ethanoic Acid
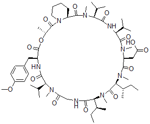
Molecular Structure CAS#: 129816-38-2, Cyclopeptolide 1
Molecular Formula C57H91N9O14
Molecular Weight 1126.40
CAS Registry Number 129816-38-2 (154429-12-6)
SMILES [C@H]1(N(C(=O)[C@@H](N(C(=O)[C@@H](NC(=O)[C@@H](N(C(=O)[C@H]3N(C(=O)[C@H](OC(=O)[C@@H](NC(=O)[C@@H](N(C(=O)CNC(=O)[C@@H](N(C1=O)C)[C@H](CC)C)C)C(C)C)CC2=CC=C(OC)C=C2)C)CCCC3)C)C(C)C)C(C)C)C)CC(=O)O)C)[C@H](CC)C
InChI 1S/C57H91N9O14/c1-18-34(9)47-49(70)58-30-42(67)62(13)45(32(5)6)50(71)59-39(28-37-23-25-38(79-17)26-24-37)57(78)80-36(11)52(73)66-27-21-20-22-40(66)53(74)63(14)46(33(7)8)51(72)60-44(31(3)4)55(76)61(12)41(29-43(68)69)54(75)65(16)48(35(10)19-2)56(77)64(47)15/h23-26,31-36,39-41,44-48H,18-22,27-30H2,1-17H3,(H,58,70)(H,59,71)(H,60,72)(H,68,69)/t34-,35-,36+,39-,40-,41-,44-,45-,46-,47-,48-/m0/s1
InChIKey WRIUTPDMSISMSW-OJCSTHIPSA-N
Properties
Density 1.231g/cm3 (Cal.)
Boiling point 1291.122°C at 760 mmHg (Cal.)
Flash point 734.644°C (Cal.)
Market Analysis Reports
Related Products
(betaR)-beta-Cy...  3-Cyclopentyl-3...  Cyclopentyltrip...  Cyclopentylurea...  4-(3-Cyclopenty...  2-Cyclopentyl V...  6-Cyclopentyl-2...  5-Cyclopentyl-2...  2-Cyclopentyl-3...  Cyclopentylzinc...  1,2,4,5-[2.2.2....  [2.2.2.2.2](1,2...  Cyclophenazine;...  Cyclophenothiaz...  Cyclo(phenylala...  Cyclo(L-phenyla...  Cyclo(phenylala...  Cyclo(Phenylala...  Cyclo(L-phenyla...  Cyclo(L-phenyla...