Online Database of Chemicals from Around the World

N-Acetylmuramyl-alanyl-isoglutaminyl-alanyl-glycerol dipalmitoyl-N-Acetylglucosamine
[CAS 130114-83-9]

Suppliers
CAS#: 130114-83-9
Product: N-Acetylmuramyl-alanyl-isoglutaminyl-alanyl-glycerol dipalmitoyl-N-Acetylglucosamine
No suppilers available for the product.
Identification
Name N-Acetylmuramyl-alanyl-isoglutaminyl-alanyl-glycerol dipalmitoyl-N-Acetylglucosamine
Synonyms [1-[[(2S)-2-[[(2R)-2-[[(2S)-2-[2-[(2S,3R,4R,5S,6R)-3-Acetamido-5-[(2S,3R,4R,5S,6R)-3-Acetamido-4,5-Dihydroxy-6-(Hydroxymethyl)Tetrahydropyran-2-Yl]Oxy-2-Hydroxy-6-(Hydroxymethyl)Tetrahydropyran-4-Yl]Oxypropanoylamino]Propanoyl]Amino]-5-Amino-5-Oxo-Pentanoyl]Amino]Propanoyl]Oxymethyl]-2-Hexadecanoyloxy-Ethyl] Hexadecanoate; Hexadecanoic Acid [1-[[(2S)-2-[[(2R)-2-[[(2S)-2-[[2-[[(2S,3R,4R,5S,6R)-3-Acetamido-5-[[(2S,3R,4R,5S,6R)-3-Acetamido-4,5-Dihydroxy-6-(Hydroxymethyl)-2-Tetrahydropyranyl]Oxy]-2-Hydroxy-6-(Hydroxymethyl)-4-Tetrahydropyranyl]Oxy]-1-Oxopropyl]Amino]-1-Oxopropyl]Amino]-5-Amino-1,5-Dioxopentyl]Amino]-1-Oxopropoxy]Methyl]-2-(1-Oxohexadecoxy)Ethyl] Ester; Palmitic Acid [1-[[(2S)-2-[[(2R)-2-[[(2S)-2-[2-[(2S,3R,4R,5S,6R)-3-Acetamido-5-[(2S,3R,4R,5S,6R)-3-Acetamido-4,5-Dihydroxy-6-Methylol-Tetrahydropyran-2-Yl]Oxy-2-Hydroxy-6-Methylol-Tetrahydropyran-4-Yl]Oxypropanoylamino]Propanoyl]Amino]-5-Amino-5-Keto-Pentanoyl]Amino]Propanoyl]Oxymethyl]-2-Hexadecanoyloxy-Ethyl] Ester
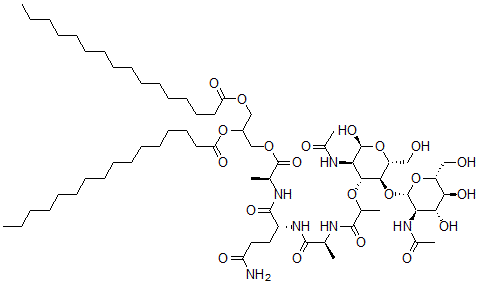
Molecular Structure CAS#: 130114-83-9, N-Acetylmuramyl-alanyl-isoglutaminyl-alanyl-glycerol dipalmitoyl-N-Acetylglucosamine
Molecular Formula C65H116N6O21
Molecular Weight 1317.66
CAS Registry Number 130114-83-9
SMILES [C@H]2(O[C@@H]1O[C@@H]([C@@H](O)[C@H](O)[C@H]1NC(=O)C)CO)[C@H](OC(C(=O)N[C@H](C(=O)N[C@@H](C(=O)N[C@H](C(OCC(OC(=O)CCCCCCCCCCCCCCC)COC(=O)CCCCCCCCCCCCCCC)=O)C)CCC(=O)N)C)C)[C@@H](NC(=O)C)[C@H](O[C@@H]2CO)O
InChI 1S/C65H116N6O21/c1-8-10-12-14-16-18-20-22-24-26-28-30-32-34-52(77)86-40-47(89-53(78)35-33-31-29-27-25-23-21-19-17-15-13-11-9-2)41-87-63(84)43(4)68-62(83)48(36-37-51(66)76)71-60(81)42(3)67-61(82)44(5)88-59-55(70-46(7)75)64(85)90-50(39-73)58(59)92-65-54(69-45(6)74)57(80)56(79)49(38-72)91-65/h42-44,47-50,54-59,64-65,72-73,79-80,85H,8-41H2,1-7H3,(H2,66,76)(H,67,82)(H,68,83)(H,69,74)(H,70,75)(H,71,81)/t42-,43-,44?,47?,48+,49+,50+,54+,55+,56+,57+,58+,59+,64-,65-/m0/s1
InChIKey IDKXCZLQTHWOAT-KMANSXJTSA-N
Properties
Density 1.212g/cm3 (Cal.)
Boiling point 1322.533°C at 760 mmHg (Cal.)
Flash point 753.641°C (Cal.)
Market Analysis Reports
Related Products
4-Acetyl-2,6-Mo...  4-Acetyl-3,5-mo...  3-Acetyl-1-(4-m...  N-Acetylmuramic...  N-Acetylmuramic...  N-(N-Acetylmura...  N-(N-Acetylmura...  N-Acetylmuramyl...  N-Acetylmuramyl...  N-Acetylmuramyl...  1-(N-Acetylmura...  N-Acetylmuramyl...  N-Acetylmuramyl...  N-Acetylmuramyl...  Acetylmuramyl-V...  4-Acetylnaphtha...  2-Acetylnaphtha...  N-Acetyl-3-(2-n...  N-Acetyl-3-(2-n...  N-Acetyl-3-(2-N...