Online Database of Chemicals from Around the World

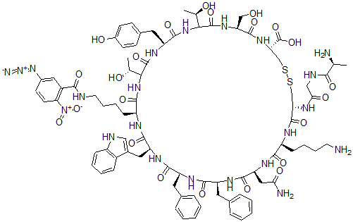
9-(N6-(5-Azido-2-Nitrobenzyl)-L-Lysine)-11-L-Tyrosinesomatostatin
[CAS 130772-41-7]

Suppliers
CAS#: 130772-41-7
Product: 9-(N6-(5-Azido-2-Nitrobenzyl)-L-Lysine)-11-L-Tyrosinesomatostatin
No suppilers available for the product.
Identification
Name 9-(N6-(5-Azido-2-Nitrobenzyl)-L-Lysine)-11-L-Tyrosinesomatostatin
Synonyms 9-Lys-11-Iodo-Tyr-Azidonitrobenzoyl-Somatostatin; Anb-Lys(9)-Somatostatin; Somatostatin (Sheep), 9-(N6-(5-Azido-2-Nitrobenzyl)-L-Lysine)-11-L-Tyrosine-
Molecular Structure CAS#: 130772-41-7, 9-(N6-(5-Azido-2-Nitrobenzyl)-L-Lysine)-11-L-Tyrosinesomatostatin
Molecular Formula C83H106N22O23S2
Molecular Weight 1844.00
CAS Registry Number 130772-41-7
SMILES [N+](=NC1=CC(=C(C=C1)[N+]([O-])=O)C(NCCCC[C@H]4C(=O)NC(C(=O)N[C@H](C(NC(C(=O)N[C@H](C(N[C@@H](CSSC[C@@H](C(=O)N[C@@H](CCCCN)C(N[C@@H](CC(=O)N)C(=O)N[C@H](C(=O)N[C@H](C(=O)N[C@@H](CC2=C[NH]C3=C2C=CC=C3)C(N4)=O)CC5=CC=CC=C5)CC6=CC=CC=C6)=O)NC(CNC(=O)[C@H](C)N)=O)C(=O)O)=O)CO)[C@H](O)C)=O)CC7=CC=C(C=C7)O)[C@H](O)C)=O)=[N-]
InChI 1S/C83H106N22O23S2/c1-43(85)70(112)90-39-67(111)91-63-41-129-130-42-64(83(125)126)100-79(121)62(40-106)99-82(124)69(45(3)108)102-78(120)59(34-48-24-27-51(109)28-25-48)98-81(123)68(44(2)107)101-73(115)56(23-13-15-31-88-71(113)53-36-50(103-104-87)26-29-65(53)105(127)128)92-76(118)60(35-49-38-89-54-21-11-10-20-52(49)54)96-75(117)58(33-47-18-8-5-9-19-47)94-74(116)57(32-46-16-6-4-7-17-46)95-77(119)61(37-66(86)110)97-72(114)55(93-80(63)122)22-12-14-30-84/h4-11,16-21,24-29,36,38,43-45,55-64,68-69,89,106-109H,12-15,22-23,30-35,37,39-42,84-85H2,1-3H3,(H2,86,110)(H,88,113)(H,90,112)(H,91,111)(H,92,118)(H,93,122)(H,94,116)(H,95,119)(H,96,117)(H,97,114)(H,98,123)(H,99,124)(H,100,121)(H,101,115)(H,102,120)(H,125,126)/t43-,44+,45+,55-,56-,57-,58-,59-,60-,61-,62-,63-,64-,68?,69?/m0/s1
InChIKey BCIXQLQPMIXMPL-YPSIBLKKSA-N
Market Analysis Reports
Related Products
3'-O-(5-Azidona...  7-Azido-1,8-nap...  4(5)-(2-(4-Azid...  4-Azido-3-Nitro...  5-Azido-2-Nitro...  5-Azido-2-nitro...  4-(N6-(5-Azido-...  2-(2-Azido-4-Ni...  12-O-(5-Azido-2...  3-(4-Azido-2-Ni...  6-(5-Azido-2-ni...  2-Azido-4-Nitro...  12-(4'-Azido-2'...  [(2R)-2-[7-(4-A...  2-[(4-Azido-2-N...  12-(4-Azido-2-N...  N-4-Azido-2-Nit...  (2R,3R,4S,5R)-5...  3'-O-(4(N-(4-Az...  (2R,3R,4S,5S,6R...