Online Database of Chemicals from Around the World

1,1-Dibutoxypentane
[CAS 13112-65-7]

Suppliers
Achemica Switzerland
+41 (24) 466-2929
contact@achemica.com
Chemical manufacturer since 2010
Identification
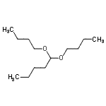
Name 1,1-Dibutoxypentane
Synonyms 1,1-Dibutoxypentane; PENTANAL DIBUTYL ACETAL; VALERALDEHYDE DIBUTYL ACETAL
Molecular Structure CAS#: 13112-65-7, 1,1-Dibutoxypentane
Molecular Formula C13H28O2
Molecular Weight 216.36
CAS Registry Number 13112-65-7
SMILES CCCCOC(CCCC)OCCCC
InChI 1S/C13H28O2/c1-4-7-10-13(14-11-8-5-2)15-12-9-6-3/h13H,4-12H2,1-3H3
InChIKey LDJYPEMHNQONGS-UHFFFAOYSA-N
Properties
Density 0.844g/cm3 (Cal.)
Boiling point 251-252°C (Expl.)
225.825°C at 760 mmHg (Cal.)
Flash point 52.099°C (Cal.)
Refractive index 1.426 (Cal.)
1.417-1.423 (Expl.)
Market Analysis Reports
Related Products
2,5-Dibutoxy-4-...  2,5-Dibutoxy-4-...  2,5-Dibutoxy-4-...  2,5-Dibutoxy-4-...  2,5-Dibutoxy-4-...  2,5-Dibutoxy-4-...  1,4-Dibutoxy-2,...  1,4-Dibutoxy-2-...  4-(2,5-Dibutoxy...  1-(2,5-Dibutoxy...  (2,4-Dibutoxyph...  4,4'-(2,5-Dibut...  [(2,5-Dibutoxy-...  4-[(3,4-Dibutox...  2,2'-[6-(2,4-Di...  [1-(Dibutoxypho...  2-(Dibutoxyphos...  Dibutoxyphospho...  2-(1-Dibutoxyph...  1-Dibutoxyphosp...