Online Database of Chemicals from Around the World

(3R,4S,5S,6R,7R,9R,10S,11S,12R,13S,14R)-6-[(2S,3R,4S,6R)-4-Dimethylamino-3-Hydroxy-6-Methyloxan-2-Yl]Oxy-14-Ethyl-10,12,13-Trihydroxy-4-[(2R,4R,5S,6S)-5-Hydroxy-4-Methoxy-4,6-Dimethyloxan-2-Yl]Oxy-7-Methoxy-3,5,7,9,11,13-Hexamethyl-1-Oxacyclotetradecan-2-One
[CAS 131791-18-9]

Suppliers
CAS#: 131791-18-9
Product: (3R,4S,5S,6R,7R,9R,10S,11S,12R,13S,14R)-6-[(2S,3R,4S,6R)-4-Dimethylamino-3-Hydroxy-6-Methyloxan-2-Yl]Oxy-14-Ethyl-10,12,13-Trihydroxy-4-[(2R,4R,5S,6S)-5-Hydroxy-4-Methoxy-4,6-Dimethyloxan-2-Yl]Oxy-7-Methoxy-3,5,7,9,11,13-Hexamethyl-1-Oxacyclotetradecan-2-One
No suppilers available for the product.
Identification
Name (3R,4S,5S,6R,7R,9R,10S,11S,12R,13S,14R)-6-[(2S,3R,4S,6R)-4-Dimethylamino-3-Hydroxy-6-Methyloxan-2-Yl]Oxy-14-Ethyl-10,12,13-Trihydroxy-4-[(2R,4R,5S,6S)-5-Hydroxy-4-Methoxy-4,6-Dimethyloxan-2-Yl]Oxy-7-Methoxy-3,5,7,9,11,13-Hexamethyl-1-Oxacyclotetradecan-2-One
Synonyms (3R,4S,5S,6R,7R,9R,10S,11S,12R,13S,14R)-6-[(2S,3R,4S,6R)-4-Dimethylamino-3-Hydroxy-6-Methyl-Tetrahydropyran-2-Yl]Oxy-14-Ethyl-10,12,13-Trihydroxy-4-[(2R,4R,5S,6S)-5-Hydroxy-4-Methoxy-4,6-Dimethyl-Tetrahydropyran-2-Yl]Oxy-7-Methoxy-3,5,7,9,11,13-Hexamethyl-1-Oxacyclotetradecan-2-One; (3R,4S,5S,6R,7R,9R,10S,11S,12R,13S,14R)-6-[[(2S,3R,4S,6R)-4-Dimethylamino-3-Hydroxy-6-Methyl-2-Tetrahydropyranyl]Oxy]-14-Ethyl-10,12,13-Trihydroxy-4-[[(2R,4R,5S,6S)-5-Hydroxy-4-Methoxy-4,6-Dimethyl-2-Tetrahydropyranyl]Oxy]-7-Methoxy-3,5,7,9,11,13-Hexamethyl-1-Oxacyclotetradecan-2-One; (3R,4S,5S,6R,7R,9R,10S,11S,12R,13S,14R)-6-[(2S,3R,4S,6R)-4-Dimethylamino-3-Hydroxy-6-Methyl-Oxan-2-Yl]Oxy-14-Ethyl-10,12,13-Trihydroxy-4-[(2R,4R,5S,6S)-5-Hydroxy-4-Methoxy-4,6-Dimethyl-Oxan-2-Yl]Oxy-7-Methoxy-3,5,7,9,11,13-Hexamethyl-1-Oxacyclotetradecan-2-One
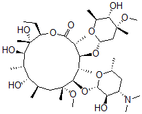
Molecular Structure CAS#: 131791-18-9, (3R,4S,5S,6R,7R,9R,10S,11S,12R,13S,14R)-6-[(2S,3R,4S,6R)-4-Dimethylamino-3-Hydroxy-6-Methyloxan-2-Yl]Oxy-14-Ethyl-10,12,13-Trihydroxy-4-[(2R,4R,5S,6S)-5-Hydroxy-4-Methoxy-4,6-Dimethyloxan-2-Yl]Oxy-7-Methoxy-3,5,7,9,11,13-Hexamethyl-1-Oxacyclotetradecan-2-One
Molecular Formula C38H71NO13
Molecular Weight 749.98
CAS Registry Number 131791-18-9
SMILES [C@H]3(O[C@@H]1O[C@@H](C[C@H](N(C)C)[C@H]1O)C)[C@](OC)(C[C@H]([C@H](O)[C@@H]([C@@H](O)[C@](O)([C@H](OC(=O)[C@@H]([C@@H](O[C@@H]2O[C@H]([C@H](O)[C@](OC)(C2)C)C)[C@@H]3C)C)CC)C)C)C)C
InChI 1S/C38H71NO13/c1-15-26-38(10,45)31(42)21(4)28(40)19(2)17-37(9,47-14)33(52-35-29(41)25(39(11)12)16-20(3)48-35)22(5)30(23(6)34(44)50-26)51-27-18-36(8,46-13)32(43)24(7)49-27/h19-33,35,40-43,45H,15-18H2,1-14H3/t19-,20-,21+,22+,23-,24+,25+,26-,27+,28+,29-,30+,31-,32+,33-,35+,36-,37-,38-/m1/s1
InChIKey JWASSTNIBKXPNV-SZZIPPHSSA-N
Properties
Density 1.185g/cm3 (Cal.)
Boiling point 806.531°C at 760 mmHg (Cal.)
Flash point 441.574°C (Cal.)
Market Analysis Reports
Related Products
(3E,11E,13Z)-6-...  2-[(5S,6R,7R,9R...  (2R,3S,7R,9S,10...  10-(4-Dimethyla...  7-(4-Dimethylam...  7-[(2R,4S,5S,6S...  10-[(2S,4S,5S,6...  7-(4-Dimethylam...  (11Z,13E)-6-(4-...  6-(4-Dimethylam...  7-(4-Dimethylam...  10-[4-Dimethyla...  (4E)-2-[4-(Dime...  2-Dimethylamino...  2-Dimethylamino...  1-dimethylamino...  5-Dimethylamino...  2-Dimethylamino...  (1R,2S,5R,6S,7S...  (3R,4S,5S,6R,7R...