| Alfa Chemistry | USA | |||
|---|---|---|---|---|
![]() |
+1 (201) 478-8534 | |||
![]() |
inquiry@alfa-chemistry.com | |||
| Chemical distributor since 2012 | ||||
| chemBlink standard supplier since 2012 | ||||
| Cayman Chemical Company | USA | |||
|---|---|---|---|---|
![]() |
+1 (734) 971-3335 | |||
![]() |
sales@caymanchem.com | |||
| Chemical manufacturer | ||||
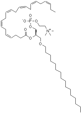
| Name | (2R)-2-[(4Z,7Z,10Z,13Z,16Z,19Z)-4,7,10,13,16,19-Docosahexaenoyloxy]-3-(Hexadecyloxy)Propyl 2-(Trimethylammonio)Ethyl Phosphate |
|---|---|
| Synonyms | "1-O-hexa |
| Molecular Structure | ![]() |
| Molecular Formula | C46H82NO7P |
| Molecular Weight | 792.12 |
| CAS Registry Number | 132213-85-5 |
| SMILES | CCCCCCCCCCCCCCCCOC[C@H](COP(=O)([O-])OCC[N+](C)(C)C)OC(=O)CC/C=C\C/C=C\C/C=C\C/C=C\C/C=C\C/C=C\CC |
| InChI | 1S/C46H82NO7P/c1-6-8-10-12-14-16-18-20-22-23-24-25-26-27-29-31-33-35-37-39-46(48)54-45(44-53-55(49,50)52-42-40-47(3,4)5)43-51-41-38-36-34-32-30-28-21-19-17-15-13-11-9-7-2/h8,10,14,16,20,22,24-25,27,29,33,35,45H,6-7,9,11-13,15,17-19,21,23,26,28,30-32,34,36-44H2,1-5H3/b10-8-,16-14-,22-20-,25-24-,29-27-,35-33-/t45-/m1/s1 |
| InChIKey | QQQQNYAHSSIZBU-HIQXTUQZSA-N |
| Refractive index | (Cal.) |
|---|---|
| Market Analysis Reports |