| Achemica | Switzerland | |||
|---|---|---|---|---|
![]() |
+41 (24) 466-2929 | |||
![]() |
contact@achemica.com | |||
| Chemical manufacturer since 2010 | ||||
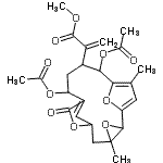
| Name | Methyl 2-[10,13-Diacetoxy-4,15-Dimethyl-8-Oxo-3,7,17-Trioxatetracyclo[12.2.1.16,9.02,4]Octadeca-1(16),9(18),14-Trien-12-Yl]Acrylate |
|---|---|
| Molecular Structure | ![]() |
| Molecular Formula | C25H28O10 |
| Molecular Weight | 488.48 |
| CAS Registry Number | 134455-96-2 |
| SMILES | Cc1cc2oc1C(C(CC(C3=CC(CC4(C2O4)C)OC3=O)OC(=O)C)C(=C)C(=O)OC)OC(=O)C |
| InChI | 1S/C25H28O10/c1-11-7-19-22-25(5,35-22)10-15-8-17(24(29)33-15)18(31-13(3)26)9-16(12(2)23(28)30-6)21(20(11)34-19)32-14(4)27/h7-8,15-16,18,21-22H,2,9-10H2,1,3-6H3 |
| InChIKey | DORQEQXBYZYXMV-UHFFFAOYSA-N |
| Density | 1.331g/cm3 (Cal.) |
|---|---|
| Boiling point | 630.381°C at 760 mmHg (Cal.) |
| Flash point | 335.043°C (Cal.) |
| Refractive index | 1.56 (Cal.) |
| Market Analysis Reports |