Online Database of Chemicals from Around the World

Methyl 2-(3,5-Dihydroxy-4-Methoxy-6-Methyloxan-2-Yl)-2-[10-[4-Dimethylamino-5-(5-Hydroxy-4-Methoxy-6-Methyloxan-2-Yl)Oxy-4,6-Dimethyloxan-2-Yl]-2-(2,3-Dimethyloxiran-2-Yl)-11-Hydroxy-4,7,12-Trioxonaphtho[2,3-h]Chromen-5-Yl]Acetate
[CAS 134887-78-8]

Suppliers
CAS#: 134887-78-8
Product: Methyl 2-(3,5-Dihydroxy-4-Methoxy-6-Methyloxan-2-Yl)-2-[10-[4-Dimethylamino-5-(5-Hydroxy-4-Methoxy-6-Methyloxan-2-Yl)Oxy-4,6-Dimethyloxan-2-Yl]-2-(2,3-Dimethyloxiran-2-Yl)-11-Hydroxy-4,7,12-Trioxonaphtho[2,3-h]Chromen-5-Yl]Acetate
No suppilers available for the product.
Identification
Name Methyl 2-(3,5-Dihydroxy-4-Methoxy-6-Methyloxan-2-Yl)-2-[10-[4-Dimethylamino-5-(5-Hydroxy-4-Methoxy-6-Methyloxan-2-Yl)Oxy-4,6-Dimethyloxan-2-Yl]-2-(2,3-Dimethyloxiran-2-Yl)-11-Hydroxy-4,7,12-Trioxonaphtho[2,3-h]Chromen-5-Yl]Acetate
Synonyms Methyl 2-(3,5-Dihydroxy-4-Methoxy-6-Methyl-Tetrahydropyran-2-Yl)-2-[10-[4-Dimethylamino-5-(5-Hydroxy-4-Methoxy-6-Methyl-Tetrahydropyran-2-Yl)Oxy-4,6-Dimethyl-Tetrahydropyran-2-Yl]-2-(2,3-Dimethyloxiran-2-Yl)-11-Hydroxy-4,7,12-Trioxo-Naphtho[2,3-H]Chromen-5-Yl]Acetate; 2-(3,5-Dihydroxy-4-Methoxy-6-Methyl-2-Tetrahydropyranyl)-2-[10-[4-Dimethylamino-5-[(5-Hydroxy-4-Methoxy-6-Methyl-2-Tetrahydropyranyl)Oxy]-4,6-Dimethyl-2-Tetrahydropyranyl]-2-(2,3-Dimethyl-2-Oxiranyl)-11-Hydroxy-4,7,12-Trioxo-5-Naphtho[2,3-H]Chromenyl]Acetic Acid Methyl Ester; 2-(3,5-Dihydroxy-4-Methoxy-6-Methyl-Tetrahydropyran-2-Yl)-2-[10-[4-Dimethylamino-5-(5-Hydroxy-4-Methoxy-6-Methyl-Tetrahydropyran-2-Yl)Oxy-4,6-Dimethyl-Tetrahydropyran-2-Yl]-2-(2,3-Dimethyloxiran-2-Yl)-11-Hydroxy-4,7,12-Triketo-Naphtho[2,3-H]Chromen-5-Yl]Acetic Acid Methyl Ester
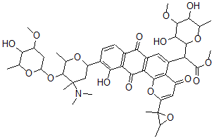
Molecular Structure CAS#: 134887-78-8, Methyl 2-(3,5-Dihydroxy-4-Methoxy-6-Methyloxan-2-Yl)-2-[10-[4-Dimethylamino-5-(5-Hydroxy-4-Methoxy-6-Methyloxan-2-Yl)Oxy-4,6-Dimethyloxan-2-Yl]-2-(2,3-Dimethyloxiran-2-Yl)-11-Hydroxy-4,7,12-Trioxonaphtho[2,3-h]Chromen-5-Yl]Acetate
Molecular Formula C47H59NO17
Molecular Weight 909.98
CAS Registry Number 134887-78-8
SMILES C1=C(C6=C(C2=C1C(=O)C5=C(C2=O)C(=C(C3CC(N(C)C)(C)C(C(O3)C)OC4OC(C(O)C(C4)OC)C)C=C5)O)OC(=CC6=O)C7(OC7C)C)C(C8OC(C(O)C(C8O)OC)C)C(=O)OC
InChI 1S/C47H59NO17/c1-18-35(50)27(57-9)16-30(61-18)64-44-20(3)60-28(17-46(44,5)48(7)8)22-12-13-23-32(38(22)53)39(54)33-25(37(23)52)14-24(31-26(49)15-29(63-41(31)33)47(6)21(4)65-47)34(45(56)59-11)42-40(55)43(58-10)36(51)19(2)62-42/h12-15,18-21,27-28,30,34-36,40,42-44,50-51,53,55H,16-17H2,1-11H3
InChIKey GCSUFJBMYLHGSO-UHFFFAOYSA-N
Properties
Density 1.429g/cm3 (Cal.)
Boiling point 986.947°C at 760 mmHg (Cal.)
Flash point 550.686°C (Cal.)
Market Analysis Reports
Related Products
Methyl (2R,3R,4...  Methyl 9-[(2S,3...  Methyl (Z)-7-[(...  N-Methyl-5,6-Di...  Methyl 4,5-Dihy...  Methyl 5,6-dihy...  Methyl 3,5-dihy...  Methyl 5,6-dihy...  Methyl 1,2-dihy...  Methyl 2-[8-[9,...  Methyl 2-(3,5-D...  methyl 4,5-dihy...  Methyl (1R,2R,3...  Methyl (1R,2S,3...  Methyl 2,6-Dihy...  Methyl 2,4-Dihy...  Methyl 3,5-Dihy...  Methyl (6E,10E)...  Methyl 4-[5-[5-...  Methyl 4-[5-(4,...