Online Database of Chemicals from Around the World

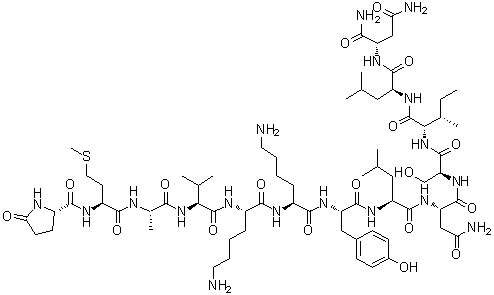
5-Oxo-L-prolyl-L-methionyl-L-alanyl-L-valyl-L-lysyl-L-lysyl-L-tyrosyl-L-leucyl-L-asparaginyl-L-seryl-L-isoleucyl-L-leucyl-L-aspartamide
[CAS 134907-86-1]

List of Suppliers
Creative Peptides USA
www.creative-peptides.com
+1 (631) 624-4882
+1 (631) 614-7828
info@creative-peptides.com
Chemical manufacturer
chemBlink Standard supplier since 2010

Identification
ClassificationBiochemical >> Peptide
Name5-Oxo-L-prolyl-L-methionyl-L-alanyl-L-valyl-L-lysyl-L-lysyl-L-tyrosyl-L-leucyl-L-asparaginyl-L-seryl-L-isoleucyl-L-leucyl-L-aspartamide
Molecular Structure5-Oxo-L-prolyl-L-methionyl-L-alanyl-L-valyl-L-lysyl-L-lysyl-L-tyrosyl-L-leucyl-L-asparaginyl-L-seryl-L-isoleucyl-L-leucyl-L-aspartamide molecular structure (CAS 134907-86-1)
Molecular FormulaC68H114N18O18S
Molecular Weight1503.81
CAS Registry Number134907-86-1
Properties
SolubilityFreely soluble (990 g/L) (25 °C), Calc.*
*Calculated using Advanced Chemistry Development (ACD/Labs) Software V11.02 (©1994-2016 ACD/Labs)
Market Analysis Reports
Related Products
5-Oxo-L-prolyl-...  5-Oxo-L-prolyl-...  5-Oxo-L-Prolyl-...  5-Oxoprolyl-4(5...  5-Oxo-L-Prolyl-...  5-Oxo-L-prolyl-...  5-Oxo-L-prolyl-...  5-Oxo-L-prolyl-...  5-Oxo-L-Prolyl-...  5-Oxo-L-Prolyl-...  alpha-(5-Oxo-L-...  2-[(5-Oxo-L-pro...  2-[(5-Oxo-L-pro...  5-Oxo-L-Prolyl-...  5-Oxo-L-prolyl-...  5-Oxo-L-prolyl-...  5-Oxo-L-prolyl-...  5-Oxo-D-Prolyl-...  1-(N-(N-(N2-(5-...  5-Oxo-L-prolyl-...