Online Database of Chemicals from Around the World

Ammonia, [(1R,2S,3R,4R,5S,6S)-2,3-Dihydroxy-4,5,6-Triphosphonooxy-Cyclohexyl] Dihydrogen Phosphate
[CAS 135027-59-7]

Suppliers
Glentham Life Sciences UK
+44 (2033) 978-798
info@glenthamls.com
Chemical distributor since 2013
Identification
Name Ammonia, [(1R,2S,3R,4R,5S,6S)-2,3-Dihydroxy-4,5,6-Triphosphonooxy-Cyclohexyl] Dihydrogen Phosphate
Synonyms Ins(1,4,5,6)P4, NH4+
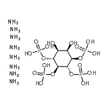
Molecular Structure CAS#: 135027-59-7, Ammonia, [(1R,2S,3R,4R,5S,6S)-2,3-Dihydroxy-4,5,6-Triphosphonooxy-Cyclohexyl] Dihydrogen Phosphate
Molecular Formula C6H40N8O18P4
Molecular Weight 636.32
CAS Registry Number 135027-59-7
SMILES [C@H]1([C@@H]([C@H]([C@@H]([C@H]([C@@H]1OP(=O)(O)O)OP(=O)(O)O)OP(=O)(O)O)OP(=O)(O)O)O)O.N.N.N.N.N.N.N.N
InChI 1S/C6H16O18P4.8H3N/c7-1-2(8)4(22-26(12,13)14)6(24-28(18,19)20)5(23-27(15,16)17)3(1)21-25(9,10)11;;;;;;;;/h1-8H,(H2,9,10,11)(H2,12,13,14)(H2,15,16,17)(H2,18,19,20);8*1H3/t1-,2+,3-,4-,5+,6+;;;;;;;;/m1......../s1
InChIKey CTBLEQHLXAUEKH-FPQWBLQBSA-N
Properties
Refractive index (Cal.)
Market Analysis Reports
Related Products
Amminedichloro(...  Amminedichloro(...  Amminepentacyan...  Ammiol;7-(Hydro...  Ammodendrine;1-...  Ammonia-15N  Ammonia  Ammonia anhydro...  Ammonia-Boranec...  Ammonia-D3-15N  Ammonia,[(2R)-3...  Ammonia,(3,4,5,...  Ammonia, Urea, ...  Ammoninm nickel...  {[N-(Ammonioace...  (2R)-2-[(Ammoni...  {[N2...  (2S)-2-{[N-(Amm...  (2S)-2-{[N-(Amm...  (4S)-4-Ammonio-...