Online Database of Chemicals from Around the World

Ibuprofenyl-coenzyme A
[CAS 135027-64-4]

Suppliers
CAS#: 135027-64-4
Product: Ibuprofenyl-coenzyme A
No suppilers available for the product.
Identification
Name Ibuprofenyl-coenzyme A
Synonyms S-[2-[3-[[(2R)-4-[[[(2R,3S,4R,5R)-5-(6-Aminopurin-9-Yl)-4-Hydroxy-3-Phosphonooxy-Tetrahydrofuran-2-Yl]Methoxy-Hydroxy-Phosphoryl]Oxy-Hydroxy-Phosphoryl]Oxy-2-Hydroxy-3,3-Dimethyl-Butanoyl]Amino]Propanoylamino]Ethyl] (2S)-2-(4-Tert-Butylphenyl)Propanethioate; (2S)-2-(4-Tert-Butylphenyl)Propanethioic Acid S-[2-[[3-[[(2R)-4-[[[(2R,3S,4R,5R)-5-(6-Amino-9-Purinyl)-4-Hydroxy-3-Phosphonooxy-2-Tetrahydrofuranyl]Methoxy-Hydroxyphosphoryl]Oxy-Hydroxyphosphoryl]Oxy-2-Hydroxy-3,3-Dimethyl-1-Oxobutyl]Amino]-1-Oxopropyl]Amino]Ethyl] Ester; (2S)-2-(4-Tert-Butylphenyl)Propanethioic Acid S-[2-[3-[[(2R)-4-[[[(2R,3S,4R,5R)-5-(6-Aminopurin-9-Yl)-4-Hydroxy-3-Phosphonooxy-Tetrahydrofuran-2-Yl]Methoxy-Hydroxy-Phosphoryl]Oxy-Hydroxy-Phosphoryl]Oxy-2-Hydroxy-3,3-Dimethyl-Butanoyl]Amino]Propanoylamino]Ethyl] Ester
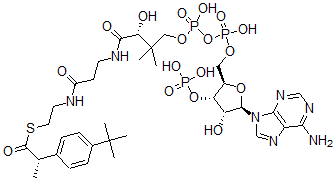
Molecular Structure CAS#: 135027-64-4, Ibuprofenyl-coenzyme A
Molecular Formula C34H52N7O17P3S
Molecular Weight 955.80
CAS Registry Number 135027-64-4
SMILES [C@H]1(O[C@@H]([C@@H](O[P](=O)(O)O)[C@H]1O)CO[P](O[P](OCC([C@@H](O)C(=O)NCCC(=O)NCCSC(=O)[C@H](C2=CC=C(C(C)(C)C)C=C2)C)(C)C)(=O)O)(=O)O)[N]3C4=C(N=C3)C(=NC=N4)N
InChI 1S/C34H52N7O17P3S/c1-19(20-7-9-21(10-8-20)33(2,3)4)32(46)62-14-13-36-23(42)11-12-37-30(45)27(44)34(5,6)16-55-61(52,53)58-60(50,51)54-15-22-26(57-59(47,48)49)25(43)31(56-22)41-18-40-24-28(35)38-17-39-29(24)41/h7-10,17-19,22,25-27,31,43-44H,11-16H2,1-6H3,(H,36,42)(H,37,45)(H,50,51)(H,52,53)(H2,35,38,39)(H2,47,48,49)/t19-,22+,25+,26+,27-,31+/m0/s1
InChIKey AUWPNTKLVZJJLA-FTEDYNDWSA-N
Properties
Density 1.661g/cm3 (Cal.)
Market Analysis Reports
Related Products
(S)-Ibuprofen g...  Ibuprofen Impur...  Ibuprofen Impur...  Ibuprofen Isopr...  (R)-(-)-Ibuprof...  Ibuprofen lysin...  Ibuprofen lysin...  Ibuprofen Metho...  Ibuprofen potas...  Ibuprofen Sodiu...  Ibuproxam;2-(4-...  Ibutamoren;L 16...  Ibutamoren mesy...  Ibuterol;[3-[2-...  Ibutilide;N-[4-...  Ibutilide fumar...  Ibuverine;Α-Cyc...  IC86621  Icaridin;Picari...  Icariin;Icariin...